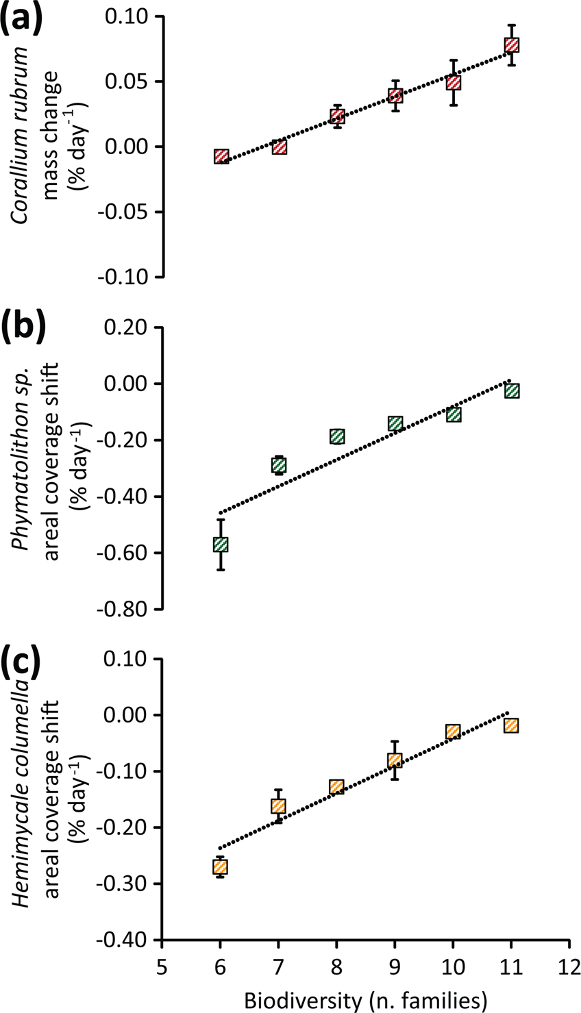
Figure 3
From: A high biodiversity mitigates the impact of ocean acidification on hard-bottom ecosystems

A higher biodiversity reduces the impacts of acidification. For all acidified mesocosms tested in the present study, reported are the positive relationships found between biodiversity (as number of different families contained in the natural coralligenous assemblages tested) and (a) the daily changes in mass weight of C. rubrum colonies, (b) the daily areal coverage shifts of Phymatolithon sp. (the dominant coralline alga) and (c) the daily areal coverage shifts of H. columella (the dominant epilithic sponge). Reported are average values and SDs.