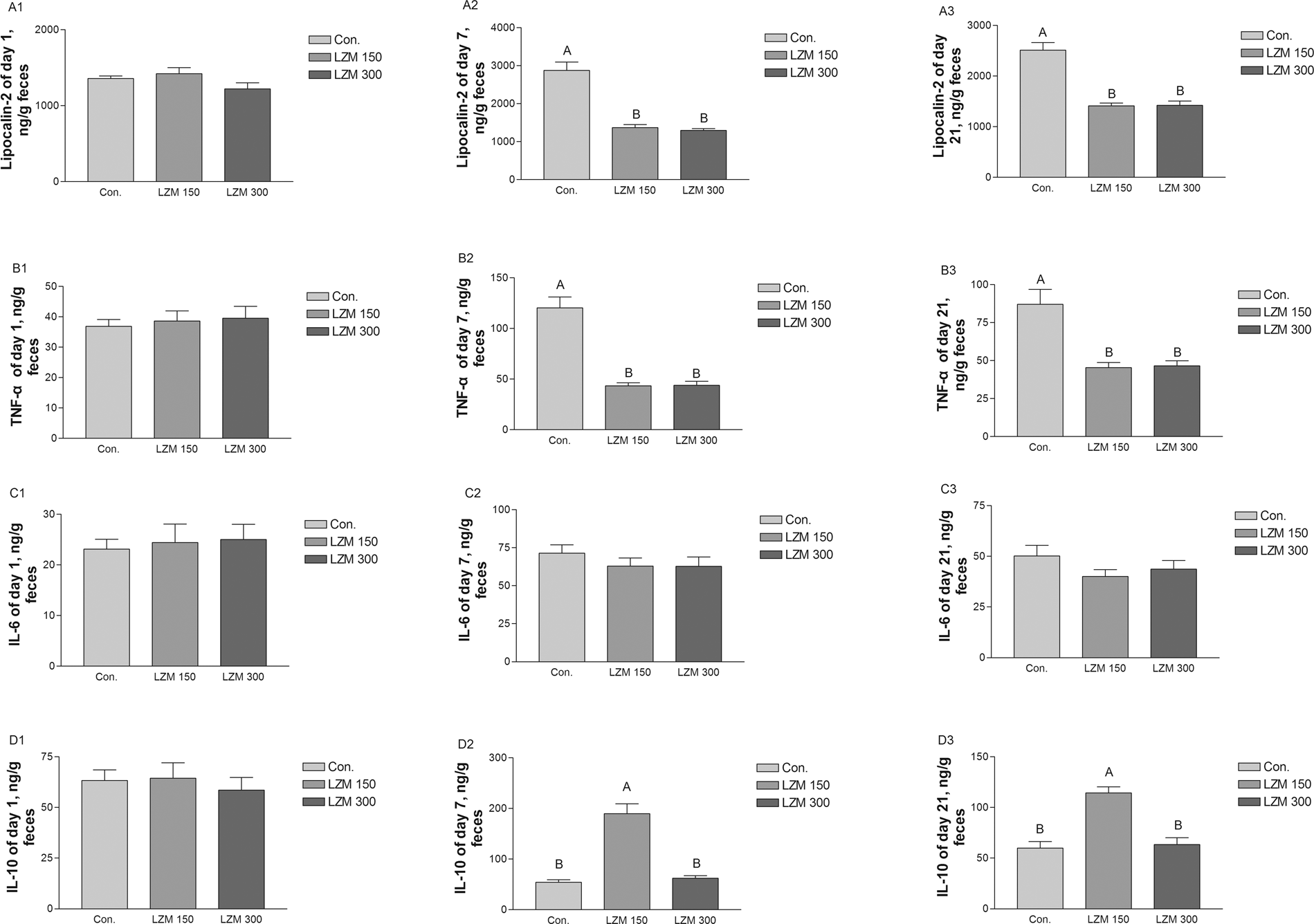
Figure 2

Effects of feeding sows diets supplemented with lysozyme on the serum concentrations of zonulin (A1–3) and endotoxin (B1–3) and fecal concentrations of endotoxin. Data are presented as means ± SEM (n = 8). TNF-α = tumor necrosis factor-α, IL-6 = interleukin-6, IL-10 = interleukin-10. Con. = control, LZM 150 = control diet + lysozyme 150 mg/kg, LZM 300 = control diet + lysozyme 300 mg/kg. A, B, significant effect of treatment (values with different uppercase letters are significantly different, P < 0.01).