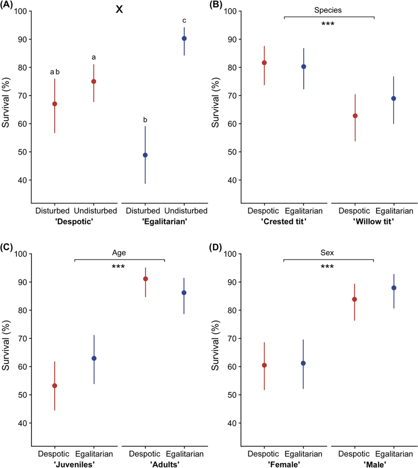
Figure 5

Winter survival percentage (±95%CI) of crested tits and willow tits of despotic and egalitarian mixed-species groups vs habitat types (A), species (B), age (C), sex (D). Letters indicate significant differences (Tukey’s tests, p < 0.05); X indicates significant interaction between dominance systems and habitat type. Asterisks indicate significant main effects (***P < 0.001).