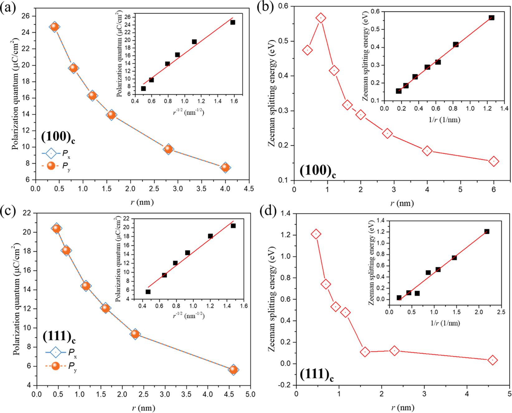
Figure 2

Calculated polarization and Zeeman spin splitting of 2D KN. (a) Polarization quantum of 0.40 nm, 0.80 nm, 1.20 nm, 1.60 nm, 2.80 nm and 4.00 nm 2D KN models of the (001)c facet (inset shows the linear fitting of polarization quantum with respect to r−1/2). (b) The thickness dependence of the calculated Zeeman spin splitting of conduction band minimum (CBM) subbands of the (001)c facet (inset shows the linear fitting of Zeeman spin splitting with respect to 1/r). (c) Polarization quantum of 0.46 nm, 0.69 nm, 0.92 nm, 1.15 nm, 2.30 nm and 4.60 nm 2D KN models of the (111)c facet (inset shows the linear fitting of polarization quantum with respect to r−1/2). (d) The thickness dependence of the calculated Zeeman spin splitting of valence band maximum (VBM) subbands of the (111)c facet (inset shows the linear fitting of Zeeman spin splitting with respect to 1/r).