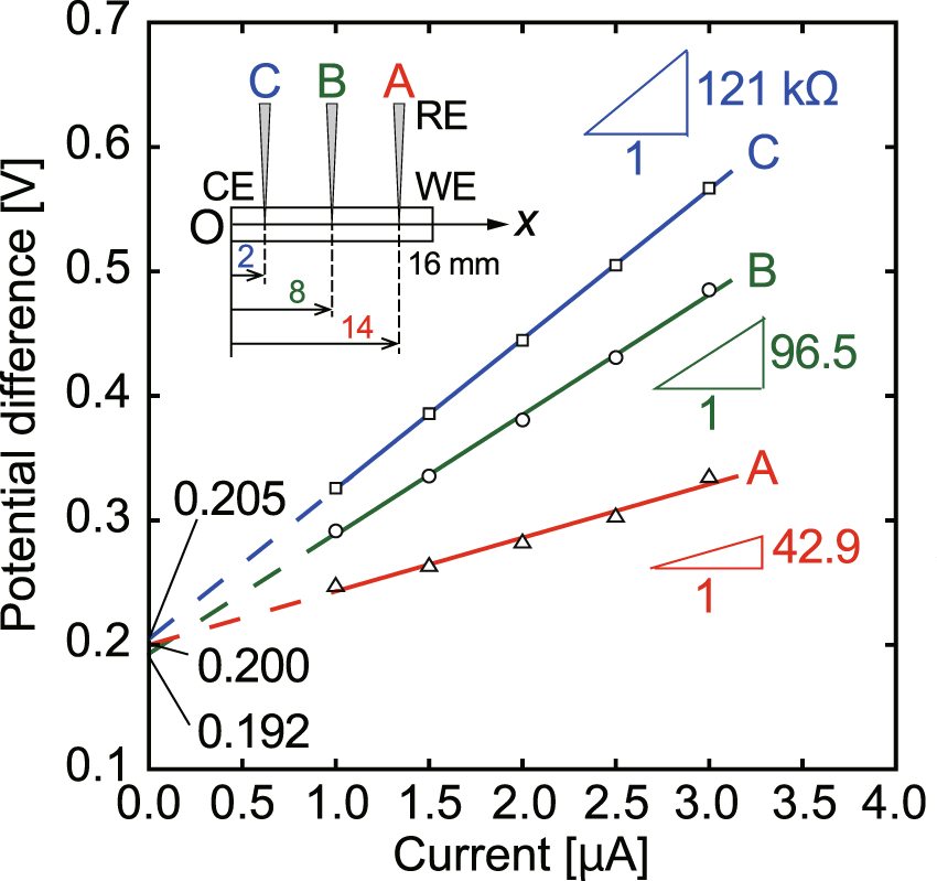
Figure 2

Experimental results for potential difference as a function of ionic current measured in a channel 16 mm in length, 2 mm in width, and 3 mm in depth, in which the counter electrode (CE) and working electrode (WE) are at x = 0 and 16 mm, respectively, and the glass micro-electrode (RE) is translocated along the x-axis. Measurement points are located at x = 2 mm (A), 8 mm (B), and 14 mm (C).