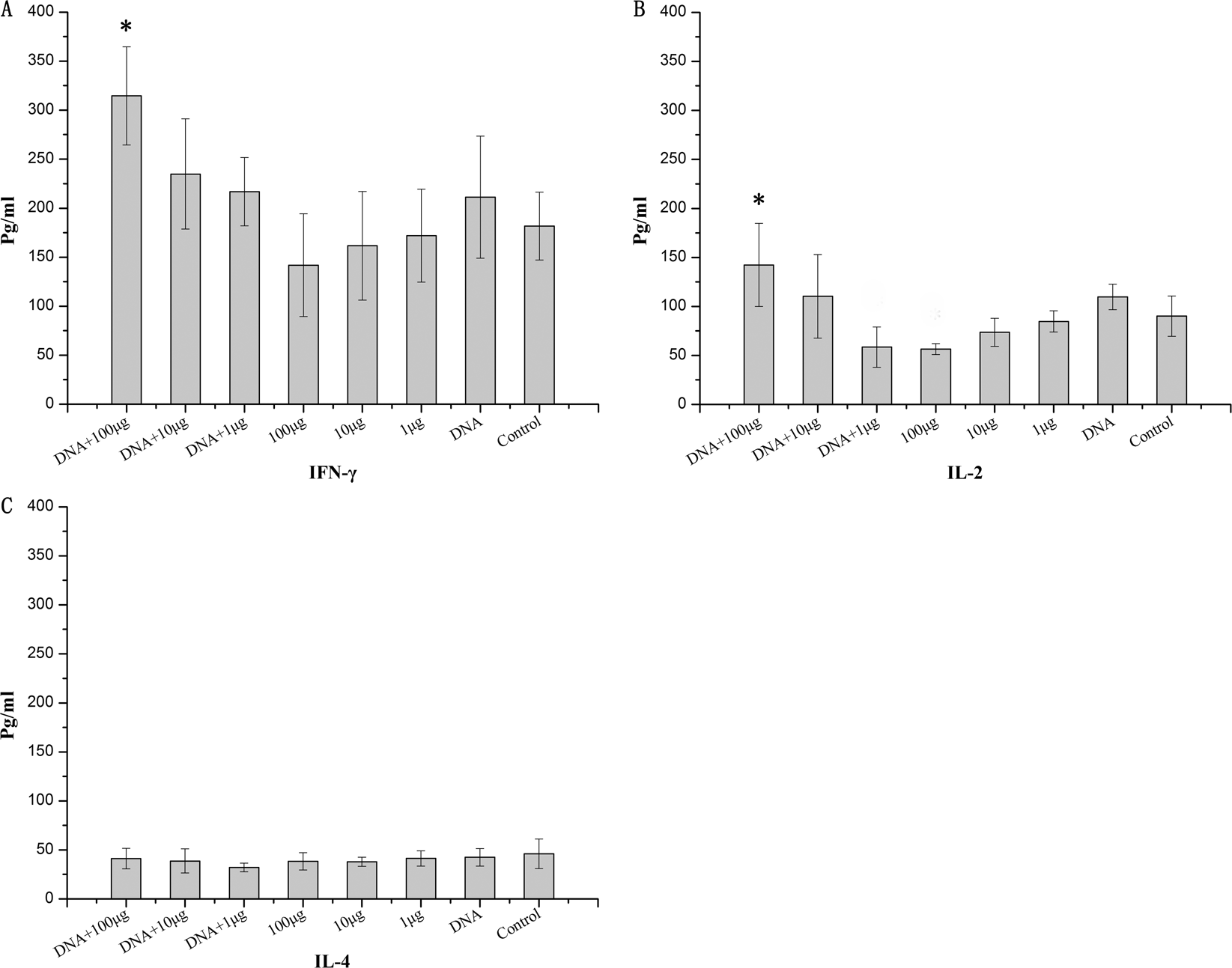
Figure 2

The expression of cytokines in the lungs. Mice were immunized as described above. Two weeks after the last administration, mice were challenged with a lethal dose (20 × LD50) of the mouse-adapted A/Chicken/Jiangsu/7/2002 (H9N2) virus. The BALFs were collected and the selected cytokines were quantitatively analyzed. Panels A, B and C represent data obtained from measurements of IFN-γ, IL-2, and IL-4, respectively. *Significant differences compared to the corresponding M1 protein immunization group alone (p < 0.05).