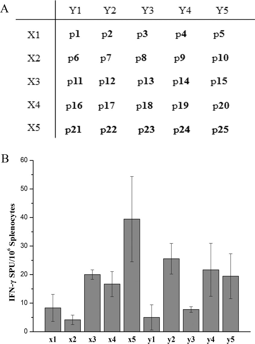
Figure 5

T cell epitope screening of peptide library spanning the entire M1 protein of H9N2 avian influenza virus. (A) A library of overlapping peptides spanning the entire M1 protein divided into ten pools of 5 peptides each according to a 5 × 5 matrix. 25 peptides were randomly named with number 1 to 25 and listed according to the matrix above. Peptides in the same line or column mixed as one pool, respectively. Then each pool as a stimulus for ELISPOT assay. (B) Peptide pool detection. Two weeks after the DNA primary - 100 μg M1 intranasal boost immune strategy, the spleen lymphocytes were isolated, 2 × 105 responding cells were incubated with each pool (50μg/ml) for 20-24 hrs in 96-well PVDF plates coated with anti-IFN-γ monoclonal antibody, then calculated the specific spots. The spots >10 were as the positive peptide pools. The values represent the averages of quadruplicate wells of 3 mice, and are expressed as means ± SD. The results were expressed as the number of SFC per 106 input cells.