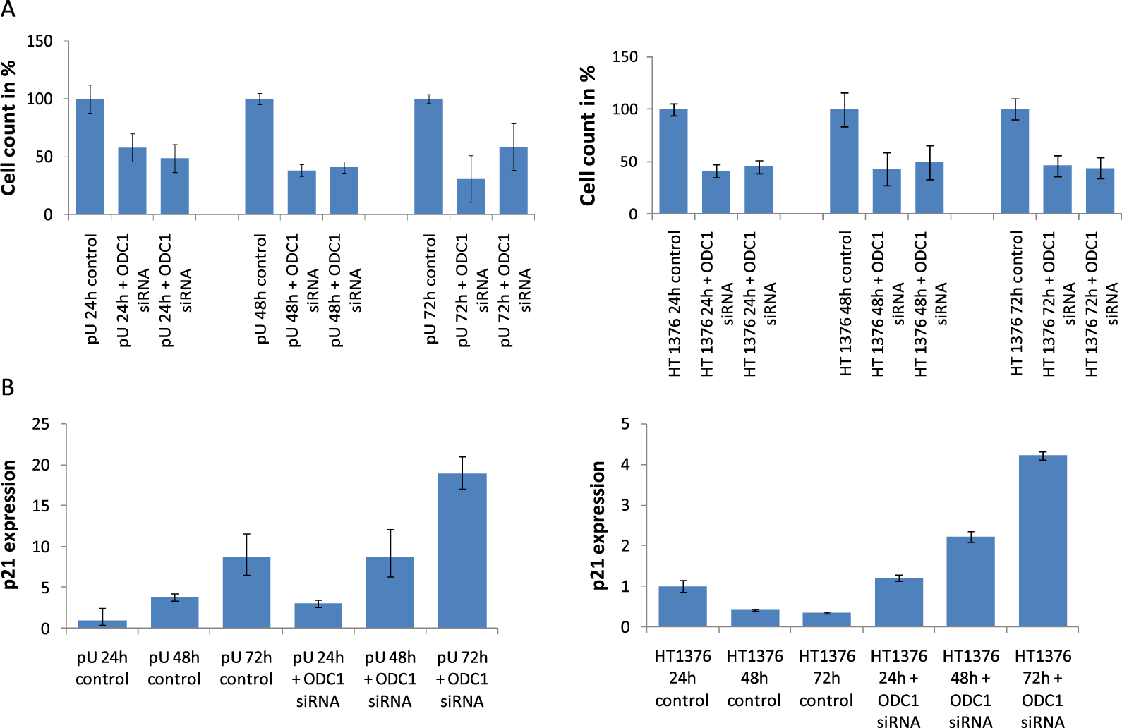
Figure 4

Cell growth and relative p21 expression in ODC1 RNAi treated uroepithelial cells and urothelial cancer cells. Cell numbers (A) and relative p21 expression (B) were measured after treatment of cultured uroepithelial cells (graphs on the left) and HT1376 UC cells (graphs on the right) by ODC1 RNAi for 24, 48 and 72 h, as depicted.