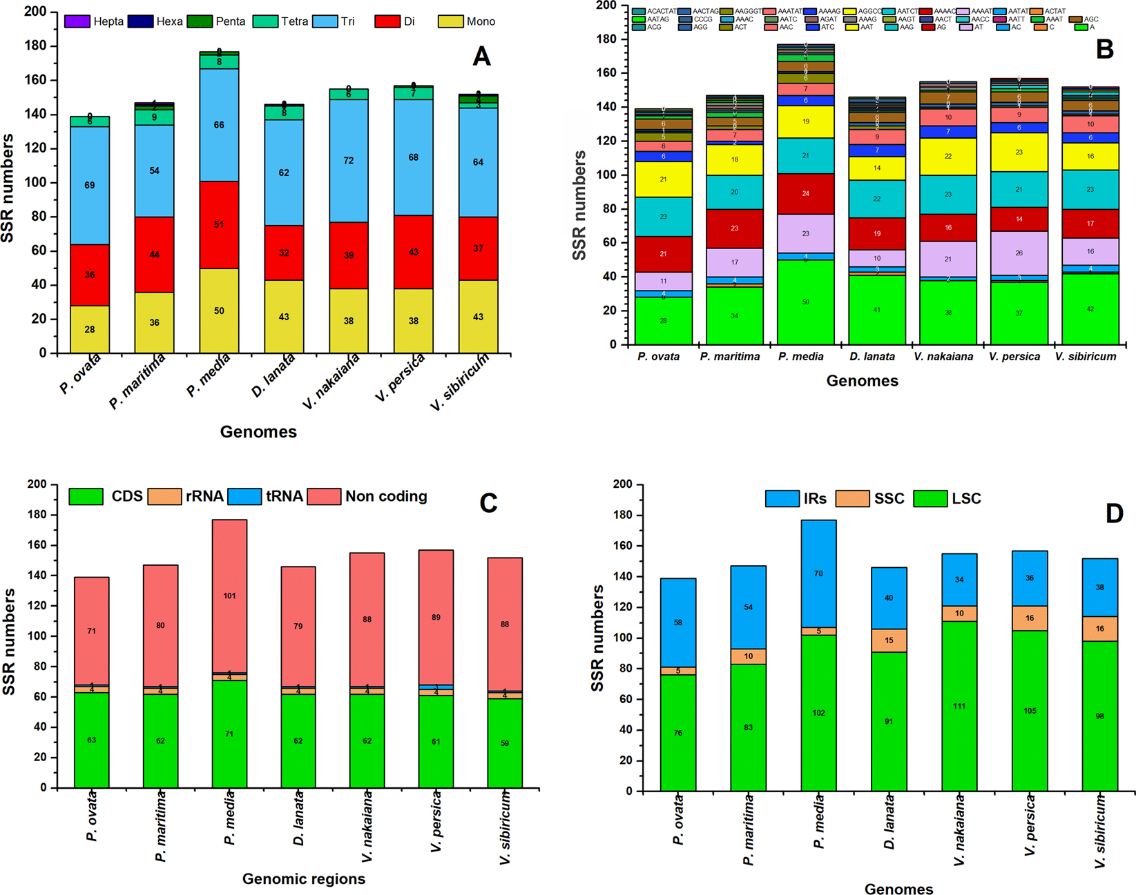
Figure 4

Analysis of simple sequence repeats (SSR) in the seven Plantaginaceae plastomes; (A) SSR numbers detected in the seven species; (B) Frequency of identified SSR motifs in different repeat class types; (C) Frequency of identified SSRs in coding, Non-coding, rRNA and tRNA regions; (D) Frequency of identified SSRs in LSC, SSC and IR regions.