Figure 3

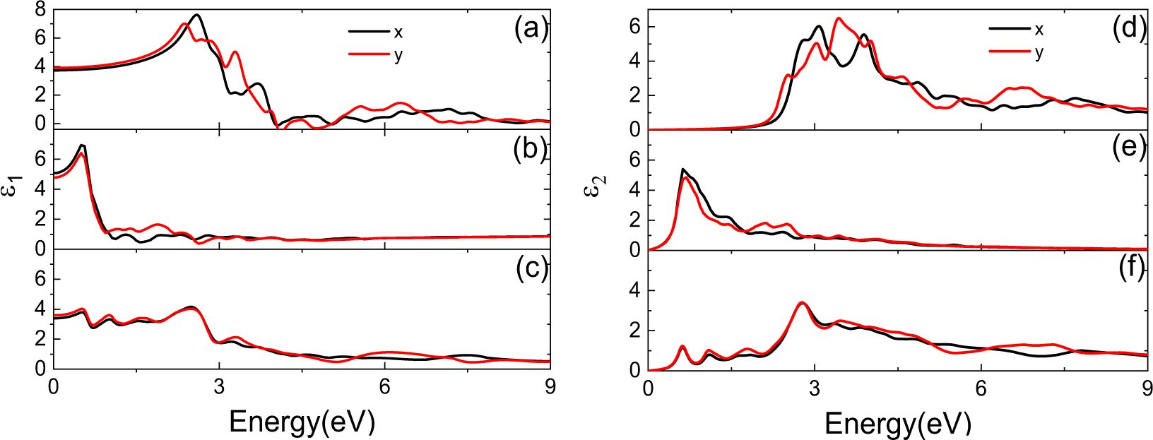
Dielectric constant of monolayer PdSe2. (a–c) Are the real part of dielectric function ɛ1 for pristine PdSe2, PdSe2 with Pd and Se defect, (d–f) Correspond to the imaginary parts ɛ2.

Dielectric constant of monolayer PdSe2. (a–c) Are the real part of dielectric function ɛ1 for pristine PdSe2, PdSe2 with Pd and Se defect, (d–f) Correspond to the imaginary parts ɛ2.