Figure 5

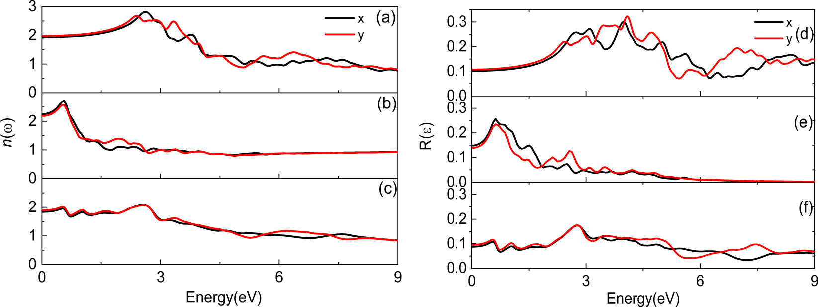
Refractive index and reflectivity of PdSe2 systems. (a–c) Correspond to refractive index, (d–f) correspond to reflectivity for pristine PdSe2, PdSe2 with Pd or Se defect, respectively.

Refractive index and reflectivity of PdSe2 systems. (a–c) Correspond to refractive index, (d–f) correspond to reflectivity for pristine PdSe2, PdSe2 with Pd or Se defect, respectively.