Figure 1
From: Probing the Possibilities of Ergodicity in the 1D Spin-1/2 XY Chain with Quench Dynamics

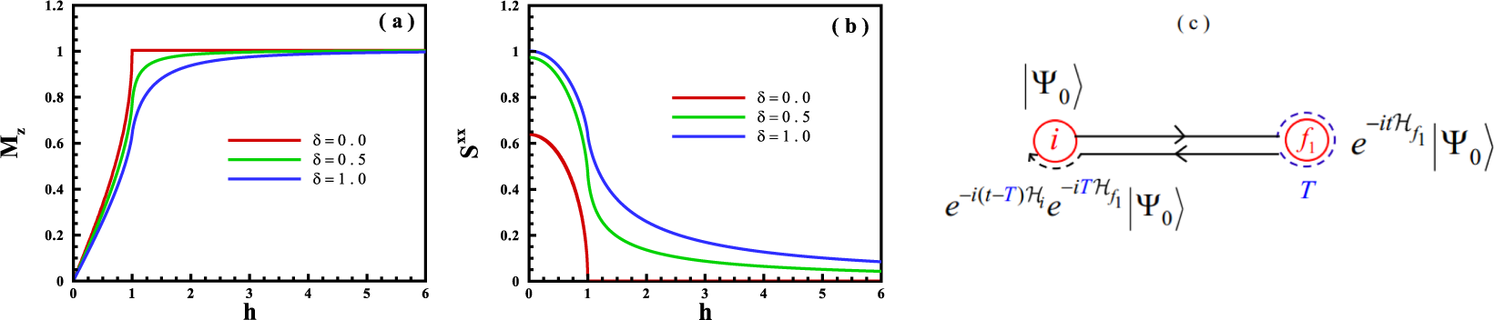
(a) The magnetization along the Z-axis, and (b) spin-spin correlation function along the X -axis versus the transverse magnetic field at zero temperature at t = 0. Different values of the anisotropy parameter considered as δ = 0.0 (the XX model), δ = 0.5 (the XY model), δ = 1.0 (the Ising model). (c) The schematic diagram of a cyclic quench.