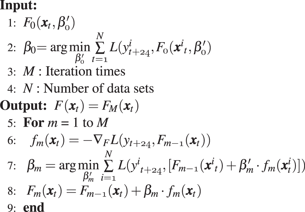
Algorithm 1 | Scientific Reports