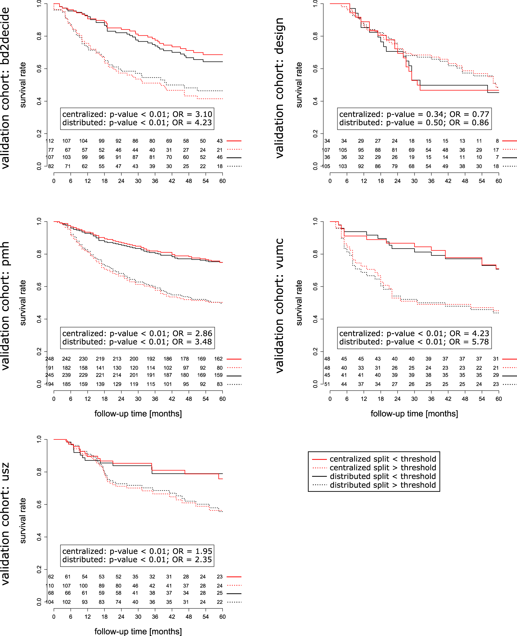
Figure 5

Comparison of Kaplan-Meier curves for the risk-group split based on the 2 years overall survival models trained centrally and distributed. Both models performed equally well on all validation cohorts. The G-rho test p-values and odds ratio (OR) are shown for comparison.