Figure 4

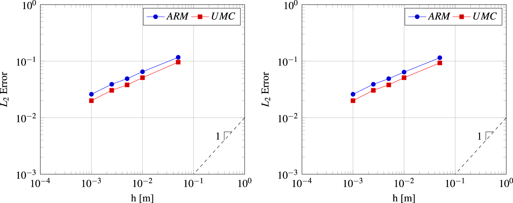
Convergence of the L2 error of water saturation as a function of the mesh element length for the numerical solutions of the Buckley-Leverett problem using the 3-D tetrahedral (left) and @-d traingular (right) elements.

Convergence of the L2 error of water saturation as a function of the mesh element length for the numerical solutions of the Buckley-Leverett problem using the 3-D tetrahedral (left) and @-d traingular (right) elements.