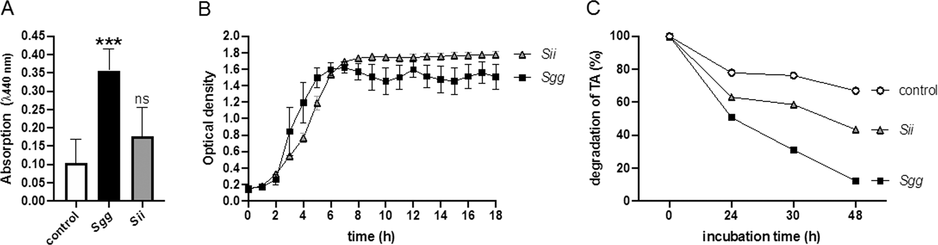
Figure 7

TA degradation and growth of bacteria in the presence of TA (A) Overnight cultures of bacteria (108 CFU/ml) were incubated with 2 mM methylgallate for 24 h at 37 °C. Buffer without bacteria were used as control. Gallic acid (released by tannase from methylgallate) was oxidized and measured at 440 nm. (B) Growth curve of Sgg or Sii in cell culture medium containing 1000 µM TA. The optical density was determined in a Spectramax (C) Overnight cultures of bacteria (108 CFU/ml) or buffer (control) were incubated in 1000 µM TA for up to 48 h. Absorption of the original solution was set to 100%. Mean ± SD, ***p < 0.0005; two-tailed t-test.