Figure 2
From: Double power-law viscoelastic relaxation of living cells encodes motility trends

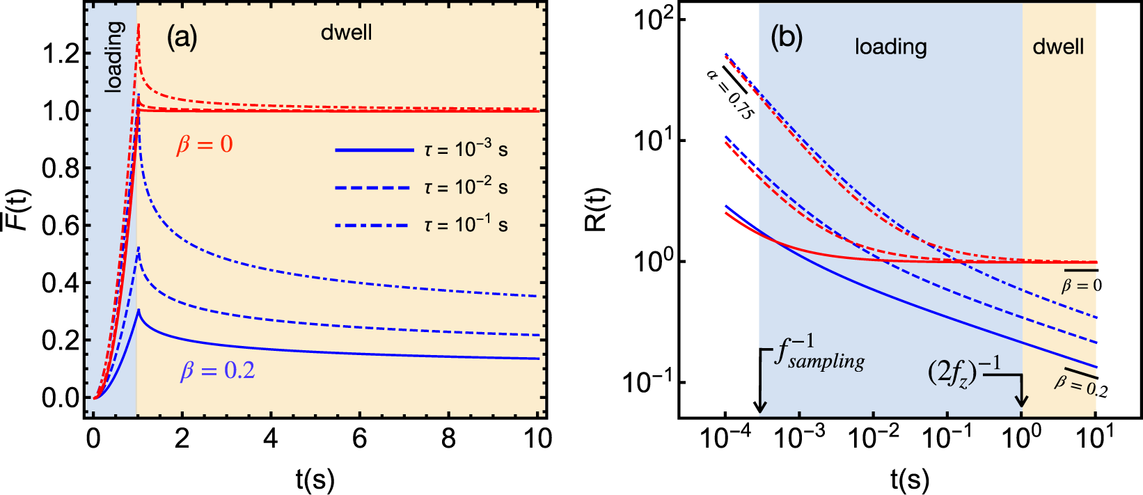
Simulated force curves (a) and their corresponding relaxation functions (b) calculated with E0 = 1 kPa, τl = 1 s, τd = 9 s and α = 0.75. \(\bar{F}(t)\) and R(t) are given in units of kPa.