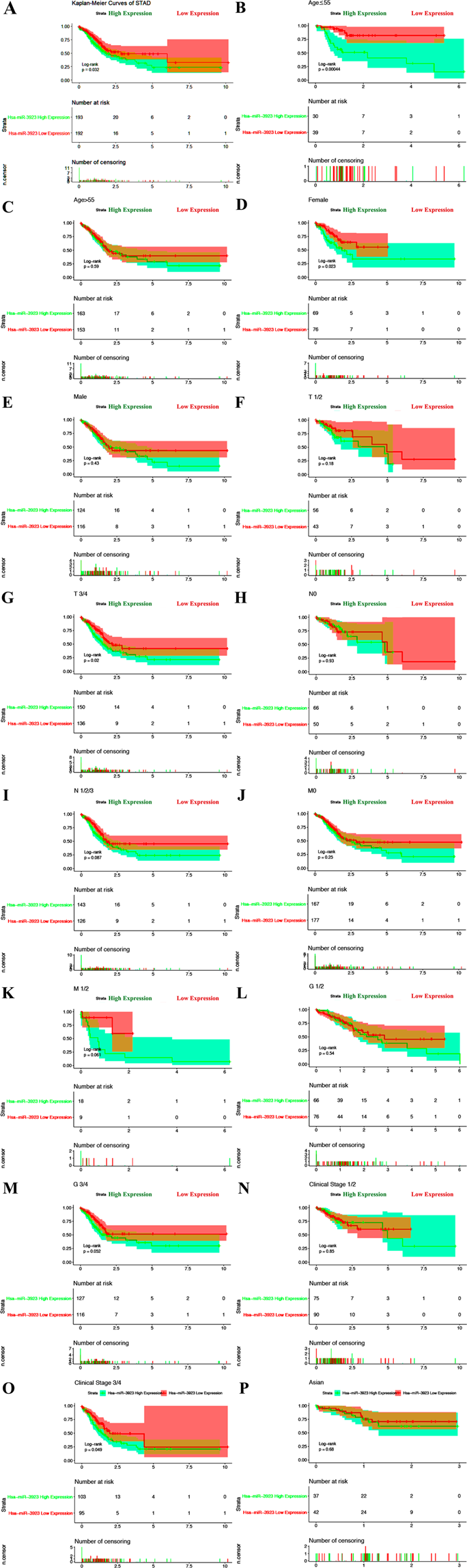
Figure 3
From: MicroRNA hsa-mir-3923 serves as a diagnostic and prognostic biomarker for gastric carcinoma

Kaplan-Meier curves for survival of STAD patients according to hsa-mir-3923 expression in GC tissues. Patients were divided into high and low hsa-mir-3923 expression groups using the Youden index of hsa-mir-3923 expression as the cut-point. Kaplan–Meier curves produced survival analysis (A) and subgroup analysis according to age (B,C), gender (D,E), TNM stage (From F to K), pathological status (L,M), clinical stage (N,O) and race (Asian) (P) were performed based on Kaplan-Meier curves. Note: For missing data, such as Tx, Nx, Mx, etc. In the statistical process, we referred to other information of the sample to classify the incomplete data into possible groups.