Figure 2
From: Formation of distinct prion protein amyloid fibrils under identical experimental conditions

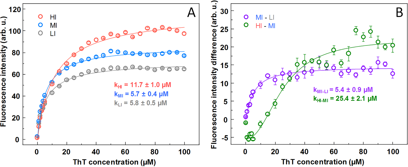
ThT binding to MoPrP amyloid fibrils probed by fluorescence assay. (A) ThT fluorescence emission intensity dependence on the concentration of ThT added to each fibril sample. (B) ThT fluorescence intensity differences between MI and LI samples and HI and MI samples. Hill equation fitting was done to determine the ThT concentration (k) at which the signal intensity midpoint is reached.