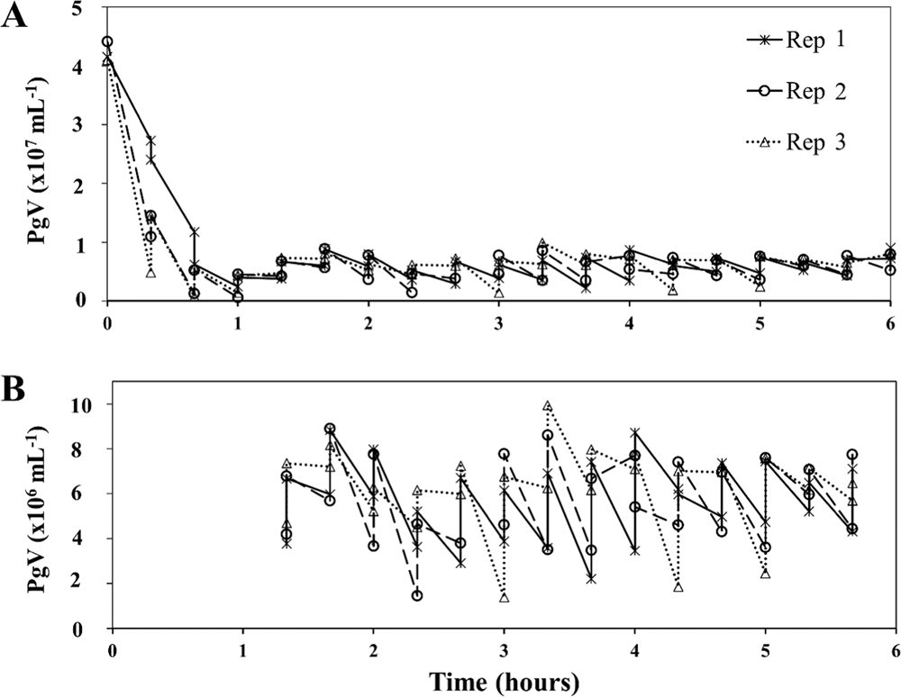
Figure 3

The removal of PgV by breadcrumb sponges over the entire incubation period (A) and a close up of the stabilized period from 1 to 5.5 h into the experiment when PgV was added at 20 min intervals (B). Experiment was performed in triplicate (Rep 1–3).