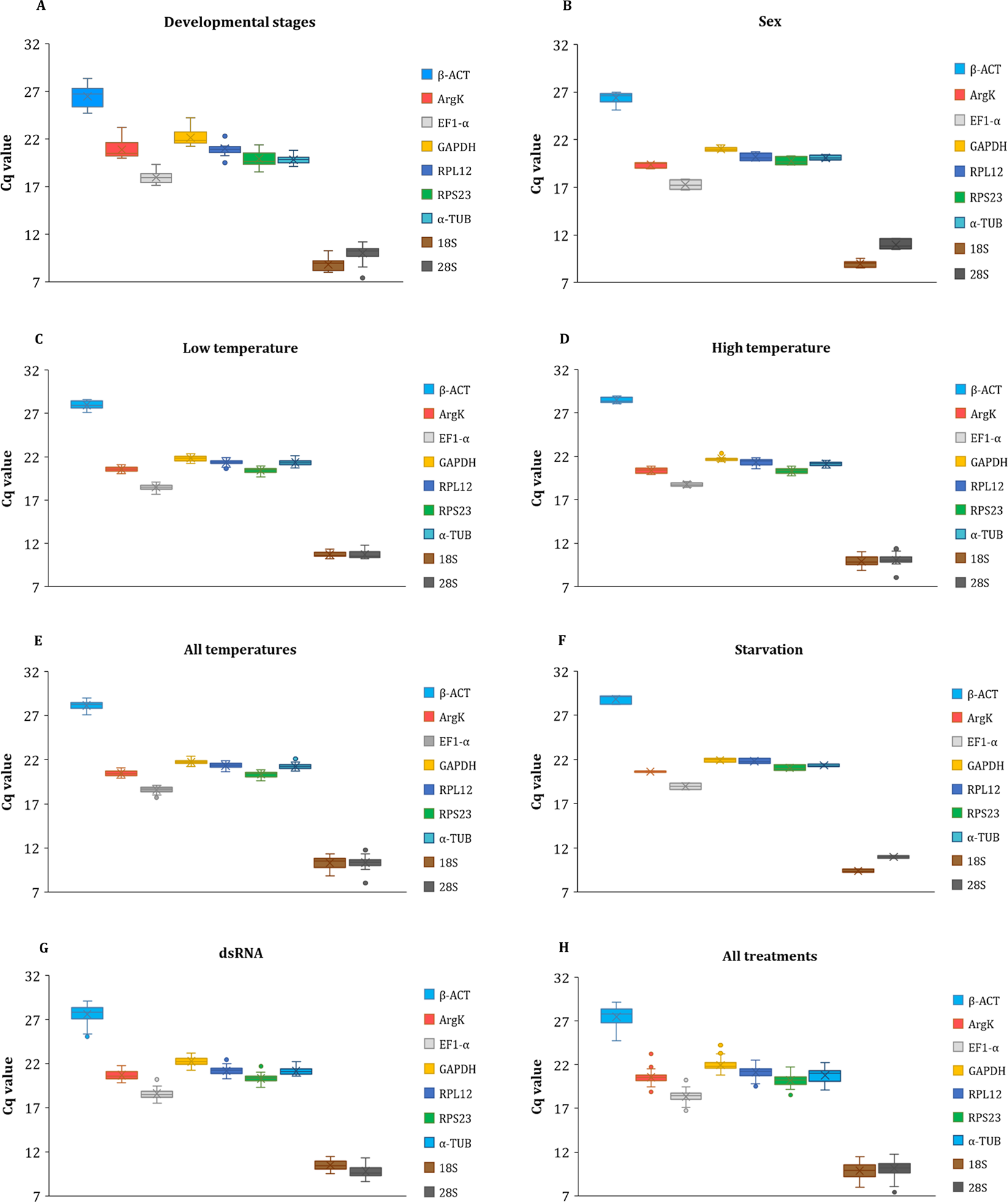
Figure 1

Expression profiles of candidate reference genes in different experimental conditions. Box and whisker plot chart showing the range of Cq values for each candidate reference gene under different treatments, developmental stages (A), sex (B), low temperature (C), high temperature (D), all temperatures (E), starvation (F), dsRNA (G) and in all treatments (H). The upper and lower edges of the boxes indicate the 75th and 25th percentiles, respectively. Whiskers represent the minimum and maximum Cq values, the line and the x within the box marks indicate the median and mean, respectively. Small circles indicate the outliers.