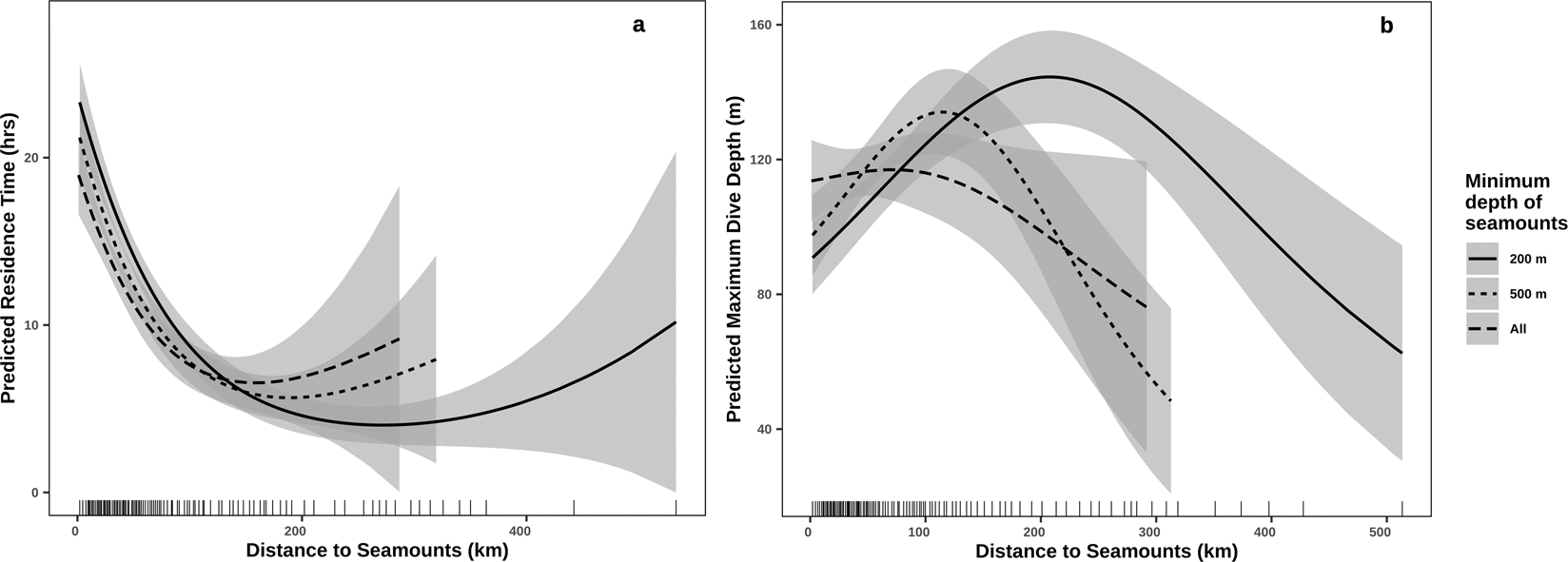
Figure 6

GAM predictions of horizontal and vertical movement of humpback whales in pelagic environment in response to the distance to seamounts. (a) Predicted Residence Time (hrs) from 18 CRW-interpolated tracks. (b) Predicted maximum dive depth (m). Rug plots illustrate the percentile distribution of the modelled distances to seamounts shallower than 200 m. The shaded ribbons represent approximate 95% confidence intervals.