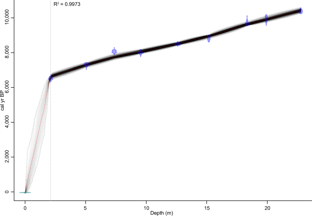
Figure 3

Bacon age-depth model produced from core Monteith-A dates. The model is very well constrained for the period between the youngest and oldest dates (6,513–10,374 yr BP; R2 = 0.997), giving an average sediment accumulation rate of 0.60 cm/yr for this 20.65 m range. Assuming the surface of the core is modern, the model gives an average sediment accumulation rate of 0.03 cm/yr for the top 2.10 m. The model returns all calibrated 14C dates (purple), the ‘best’ model based on the mean age for each depth (red dashed line) and the 95% confidence interval (grey dashed lines), with the degree of shading between the 95% confidence intervals representing the likelihood of the calendar age.