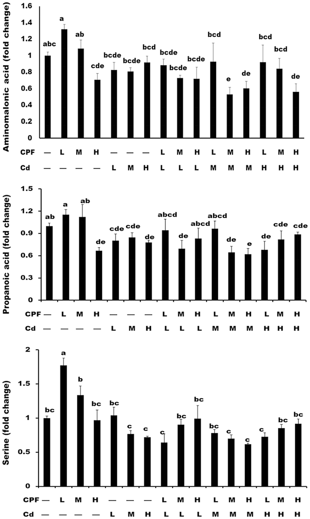
Figure 3
From: Identification of metabolite biomarkers in serum of rats exposed to chlorpyrifos and cadmium

Levels of biomarkers in serum. The levels of the metabolites serine (A), propanoic acid (B), and aminomalonic acid (C) in serum of rats administrated orally with chlorpyrifos (CPF) and cadmium (Cd) at respective doses of 1.7 and 0.7 mg/kg BW/day (low dose, L), 5 and 2 mg/kg BW/day (middle dose, M), 15 and 6 mg/kg BW/day (high dose, H) and their combinations for 90 days. The abbreviated letters and symbols in the upper and lower lines just below the X-axis represent the CPF and Cd treatments respectively; “–” represents without treatment; L, M, and H represent the treatment with the corresponding chemicals, respectively, at low, middle, and high doses. Abbreviations: BW, body weight; Cd, cadmium; CPF, chlorpyrifos; L, low dose; M, middle dose; H, high dose.