Figure 4
From: Identification of metabolite biomarkers in serum of rats exposed to chlorpyrifos and cadmium

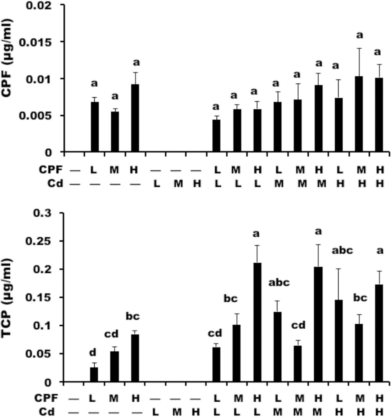
The levels of CPF and its metabolite TCP in serum of rats. The rats were administrated orally with CPF, Cd at doses of 1.7 and 0.7 mg/kg BW/day (low dose, L), 5 and 2 mg/kg BW/day (middle dose, M), 15 and 6 mg/kg BW/day (high dose, H), respectively, and their combinations for 90 days. After the 90-day administration, the blood samples were collected and the levels of CPF and its metabolite TCP in serum were measured by using HPLC method. Data were expressed as mean ± SE and the differences among different groups evaluated by ANOVA. Different superscripted letters (a–d) indicate a significant difference among groups (P < 0.05), while the same letters indicate no significant difference among groups (P > 0.05). Abbreviations: BW, body weight; L, low dose; M, middle dose; H, high dose; Cd, cadmium; CPF, chlorpyrifos; TCP, 3,4,5-trichloropyrindinol.