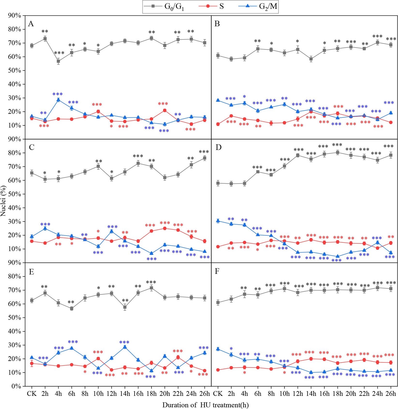
Figure 2

Proportion of cells in different phases after different treatment times and HU concentrations at 25 °C. (A) 0.625 mM HU; (B) 1.25 mM HU; (C) 2 mM HU; (D) 2.5 mM HU; (E) 3 mM HU; (F) 5 mM HU. Three independent biological replicates with at least 10,000 nuclei per sample. The asterisks denote that it is on the level of significance in comparison to CK (*stand for p < 0.05, **stand for p < 0.01 and ***stand for p < 0.001).