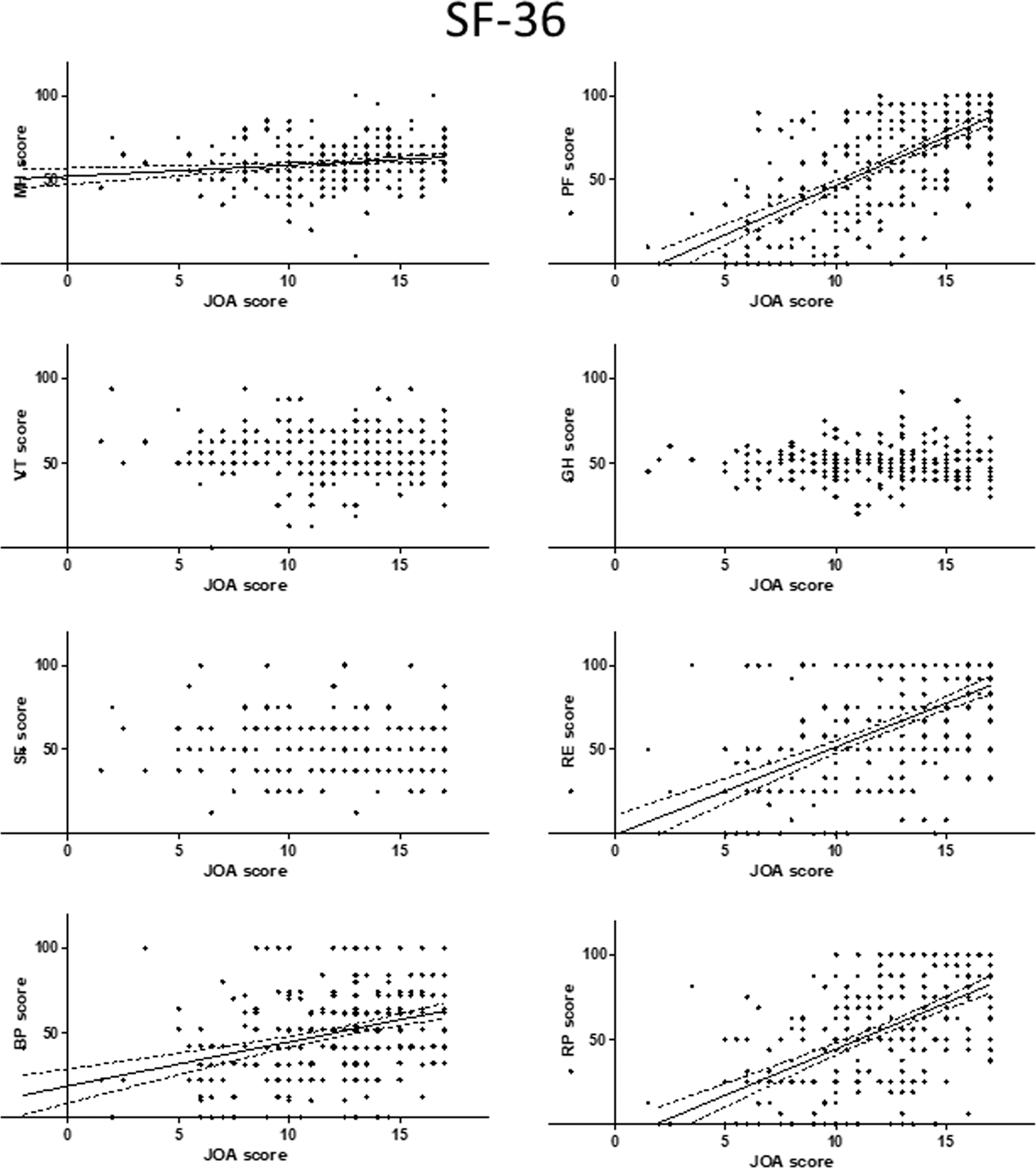
Figure 4

Relationship between severity of myelopathy and each domain of the SF-36. There were significant positive correlations between the JOA score for myelopathy and MH, BP, PF, RE, and RP, respectively. BP, Bodily Pain; MH, Mental Health; PF, Physical Functioning; RE, Role Emotional; RP, Role Physical; SF-36, 36-item Short Form Health Survey.