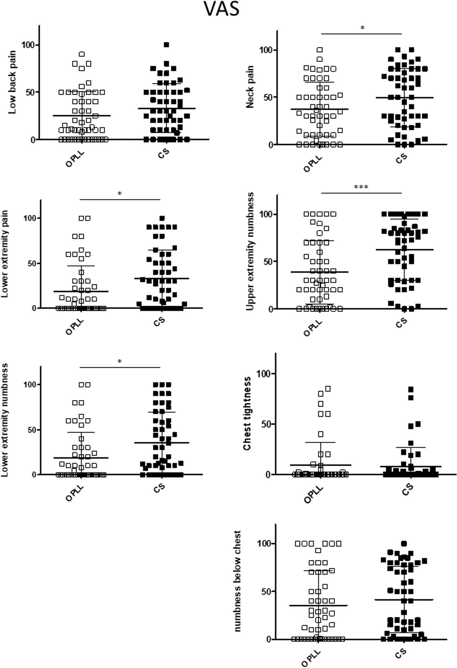
Figure 7

Comparison of each item on the VAS between the study groups after adjustment by propensity score matching. The VAS scores for pain or numbness in the buttocks and limbs were significantly higher in the CS group than in the OPLL group but there was no marked between-group difference in low back pain, chest tightness, or numbness below the chest. CS, cervical spondylosis; OPLL, ossification of the posterior longitudinal ligament; VAS, visual analog scale.