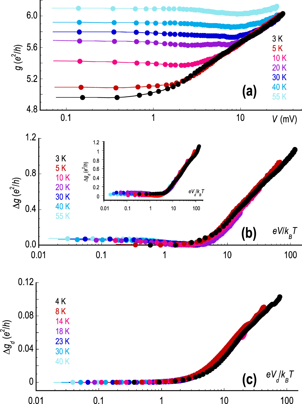
Figure 4
From: Universal scaling of weak localization in graphene due to bias-induced dispersion decoherence

Temperature dependent differential conductance of device B1, measured at various temperatures from 3–55 K. The data were obtained for a gate voltage Vg = −24 V, while the Dirac point in this device was positioned at Vg = + 2 V. This condition therefore corresponds to a gate-induced hole concentration of p = 1.87 ⋅ 1012 cm−2. (b) Data of panel (a), obtained after rescaling. The inset shows the rescaled data at Vg = −6 V which corresponds to p = 5.76 ⋅ 1011 cm−2. (c) Similar rescaling obtained for device B2 at a gate voltage Vg = −40 V (hole concentration p = 2.52 ⋅ 1012 cm−2, Dirac point in this device is at Vg = −5 V).