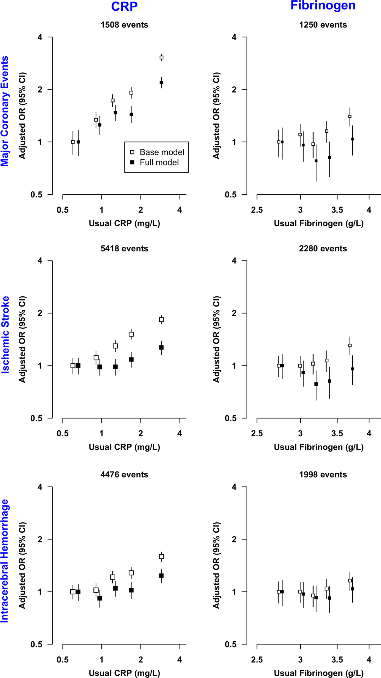
Figure 2
From: Systemic inflammation is associated with incident stroke and heart disease in East Asians

Risk of Major Coronary Events, Ischemic Stroke, and Intracerebral hemorrhage by quintiles of C-reactive protein (CRP) and fibrinogen. Models were adjusted for age, age2 and sex (Base model) and additionally for income, occupation, education, SBP, BMI, diabetes, physical activity, standing height, smoking, alcohol, LDL-C and TG (Full model). These models were fitted separately for each of the 10 study areas for each quintile and estimates were meta-analyzed; in each quintile, study areas were excluded when models failed to converge (9 models out of 600 models). Cut-offs for CRP and Fibrinogen quintiles were based on their distribution in the combined case-control cohort (CRP: 0.37 mg/l, 0.70 mg/l, 1.28 mg/l, and 2.59 mg/l; Fibrinogen: 2.47 g/l, 2.81 g/l, 3.14 g/l, and 3.60 g/l). Error bars represent 95% floated confidence intervals (CI). The areas of the boxes are proportional to the inverse of the variance of the log ORs. OR, CRP, and fibrinogen are plotted on log scales.