Figure 5

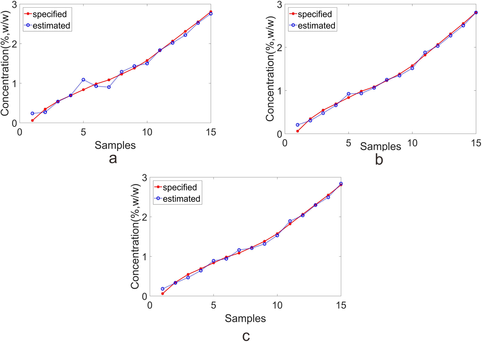
The plot of predicted and actual value in test set of emamectin benzoate samples. (a) Individual NIR; (b) individual MIR; (c) MDW for fusion.

The plot of predicted and actual value in test set of emamectin benzoate samples. (a) Individual NIR; (b) individual MIR; (c) MDW for fusion.