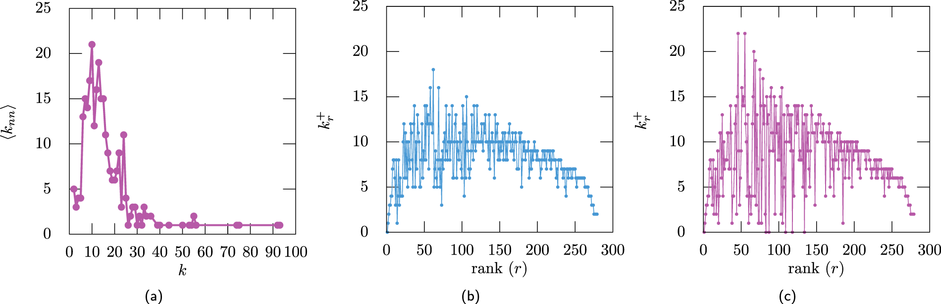
Figure 11

(a) Average neighbours degree for the C. elegans and an ensemble with almost identical ⟨knn(k)⟩ as the original network. The percent error \({\sum }_{i}| \langle {k}_{nn}^{(2)}({k}_{i})\rangle -\langle {k}_{{\rm{nn}}}^{(1)}({k}_{i})\rangle | \)/Nk = 3 × 10−4, where the superscript (1) refers to the original dataset and (2) to a obtained ensemble and Nk is the number of different degrees present in the network. The \(\{{k}_{i}^{+}\}\) sequences for (b) the original networks and (c) for the modified ME2 ensemble.