Figure 1
From: High thresholds encouraging the evolution of cooperation in threshold public-good games

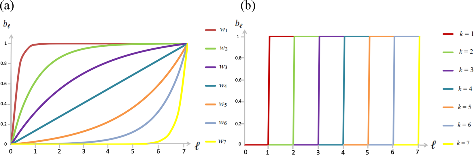
In part (a,b), each curve represents the impact function, i.e. production of the public good \({b}_{\ell }\) as a function of the number of cooperating players \(\ell \) ranging from 0 cooperators to \(n\) cooperators, where \(n\) is the group size. Part (a) represents impact functions for several levels of the degree of complementarity w (with \({w}_{1} < {w}_{2} < {w}_{3} < {w}_{4} < {w}_{5} < {w}_{6} < {w}_{7}\)), and (b) for several levels of threshold levels k (ranging from 1 to 7).