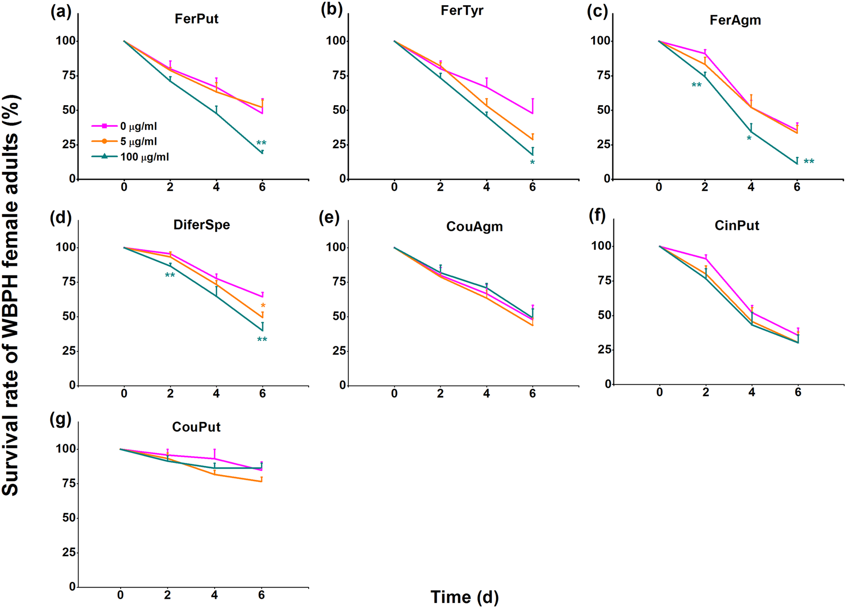
Figure 5

Effect of phenolamides on the survival rate of WBPH female adults. Mean survival rates (+SE, n = 7) of 15 newly emerged WBPH female adults fed on artificial diet complemented with FerPut (a), FerTyr (b), FerAgm (c), DiferSpe (d), CouAgm (e), CinPut (f) and DiferSpe (g) at concentrations of 0, 5 or 100 μg/ml. FerPut, N-feruloylputrescine; FerTyr, N-feruloyltyramine; FerAgm, feruloylagmatine; CouAgm, N-p-coumaroylagmatine; CinPut, N-cinnamoylputrescine; DiferSpe, N1,N10-diferuloylspermidine; CouPut, N-p-coumaroylputrescine. Asterisks indicate significant differences between treatments and controls (*P < 0.05; **P < 0.01; Student’s t-test).