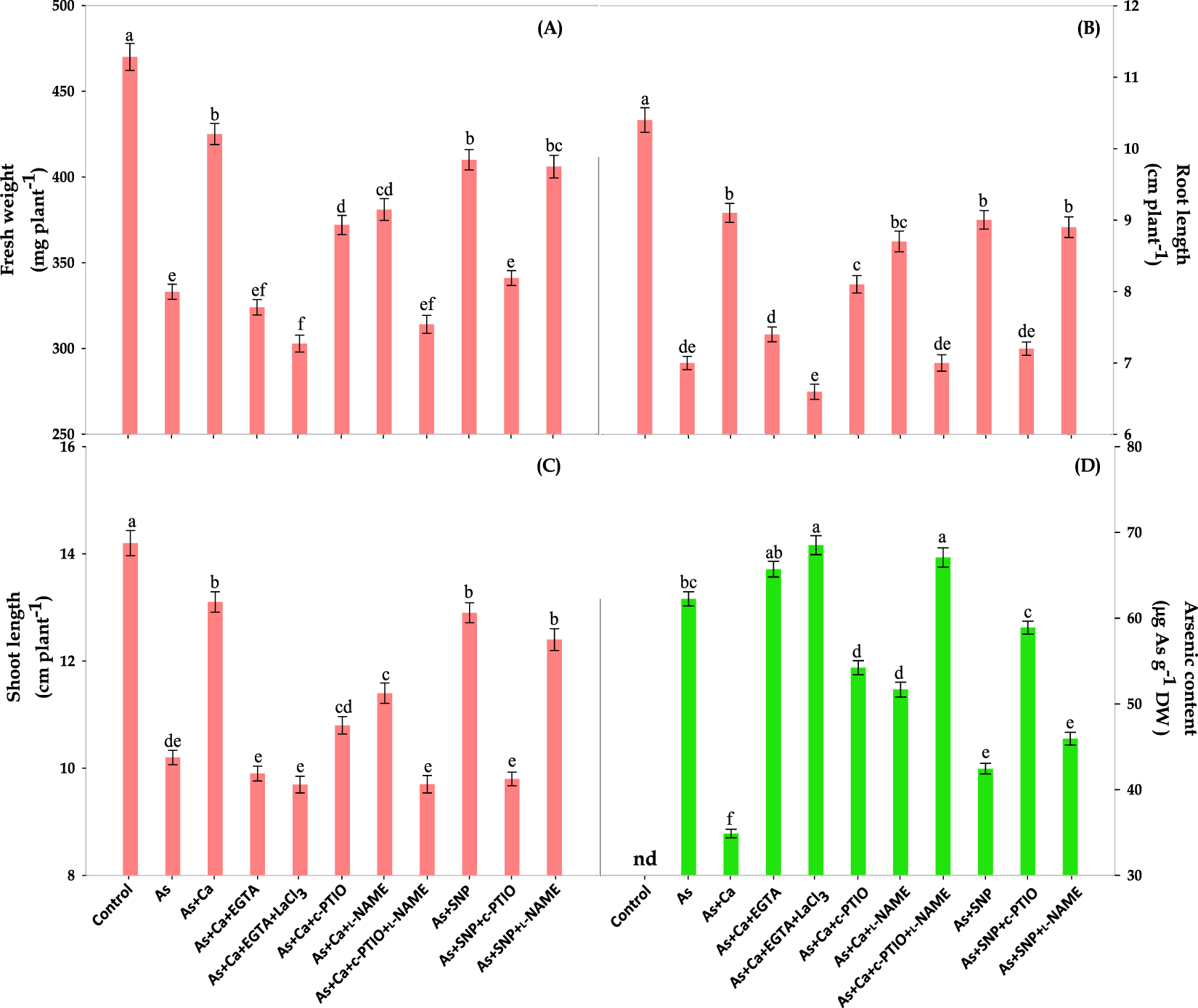
Figure 1

Effect of CaCl2(Ca2+) and SNP (NO) on the phenotypic appearance: (A) fresh weight, (B) root length, (C) shoot length and (D) As content of As‒challenged Brassica seedlings subjected to different modulators (EGTA: ethylene glycol‒bis(2‒aminoethylether)‒N,N,N′,N′‒tetraacetic acid, a Ca scavenger, LaCl3: lanthanum chloride, a plasma membrane Ca channel blocker, c‒PTIO: 2‒4‒carboxyphenyl‒4,4,5,5‒tetramethylimidazoline‒1‒oxyl‒3‒oxide, a NO scavenger and L‒NAME: Nω‒nitro‒L‒arginine methyl ester hydrochloride, a nitric oxide synthase inhibitor). Data signifies the mean ± standard error of five replicates. Bars followed by different letters are significantly different at p < 0.05 level according to Tukey test. Where ‘nd’ is ‘no detection’ of As.