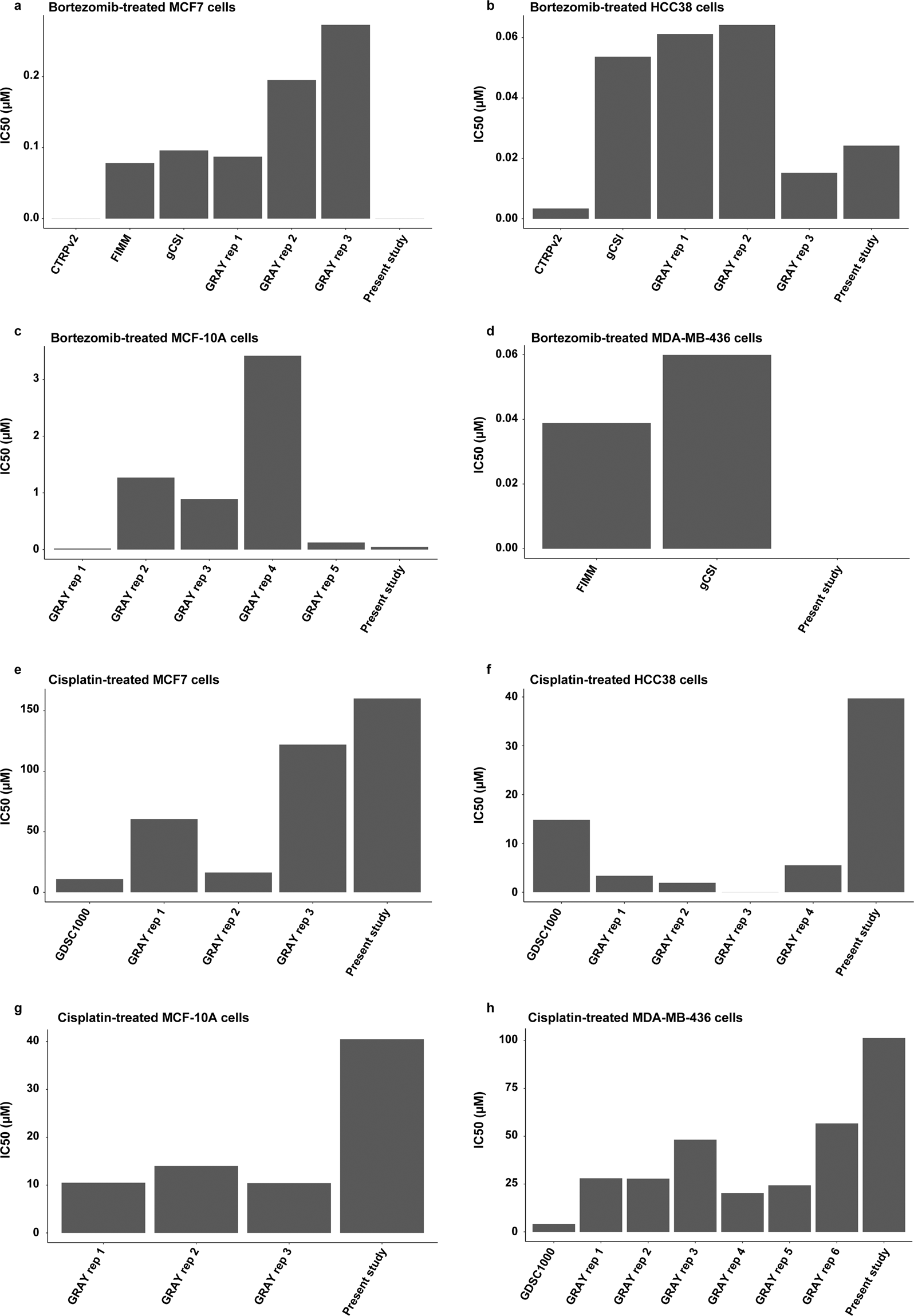
Figure 7

IC50 values for (a–d) bortezomib- and (e–h) cisplatin-treated MCF7, HCC38, MCF-10A, and MDA-MB-436 breast cancer cells generated in the present study and pharmacoDB42 datasets. No bar is shown for treated cells that do not reach the half maximal inhibitory concentration. The bar plots were generated using ggplot2 (version 3.2.1) in R51.