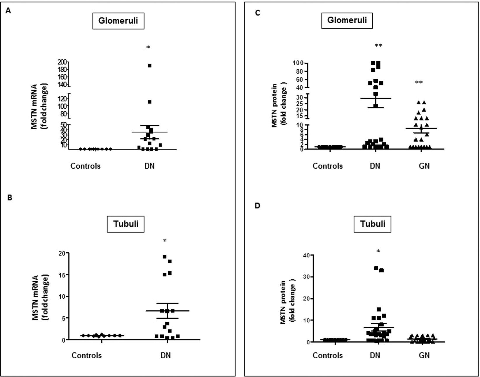
Figure 1

Expression of MSTN mRNA and protein in the glomeruli and tubulointerstitium of controls (controls) (n = 13) and patients with DN (n = 16). (A,B) mRNA levels of MSTN were determined by rt-PCR in laser microdissected glomeruli and tubulointerstitium. (C,D). Glomerular and tubular protein expression of MSTN was evaluated by immunohistochemistry and the positive area by image analysis in controls (N = 13), DN (N = 26), and patients with IgA nephropathy (n = 11) or FSGS (n = 11). Results are expressed as fold change ±SEM to the controls (*p < 0.05, **p < 0.01 vs controls). MSTN = Myostatin, DN = Diabetic nephropathy, IgA = immunoglobulin A nephropathy, FSGS = focal segmental glomerulosclerosis, Rt-PCR = real time PCR.