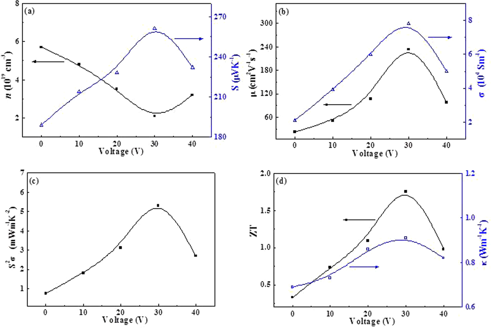
Figure 5

Thermoelectric properties of Sb2Te3 films deposited under different electric fields (0, 10, 20, 30 and 40 V) at room temperature: (a) n and S, (b) μ and σ, (c) S2σ as well as (d) κ and ZT.

Thermoelectric properties of Sb2Te3 films deposited under different electric fields (0, 10, 20, 30 and 40 V) at room temperature: (a) n and S, (b) μ and σ, (c) S2σ as well as (d) κ and ZT.