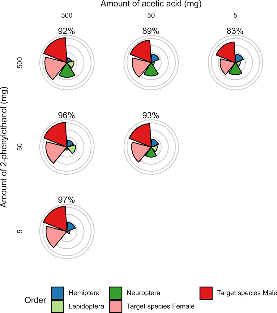
Figure 6
From: Designing a species-selective lure based on microbial volatiles to target Lobesia botrana

Total captures (square root transformed) of Lobesia botrana (target species) and other species during the third flight in traps baited with a different load of AA and 2-PET. Concentric lines indicate 10, 50, 250 and 500 insects caught. The percentage of target species caught is indicated at the top of each radial plot.