Figure 3

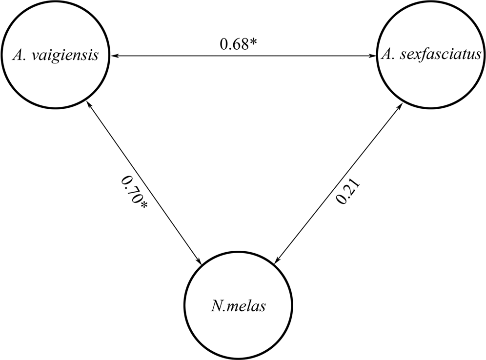
Spearman rank correlations between taste attractiveness of agar pellets flavoured with extracts of comatulids for Abudefduf vaigiensis, Neoglyphidodon melas and Abudefduf sexfasciatus.

Spearman rank correlations between taste attractiveness of agar pellets flavoured with extracts of comatulids for Abudefduf vaigiensis, Neoglyphidodon melas and Abudefduf sexfasciatus.