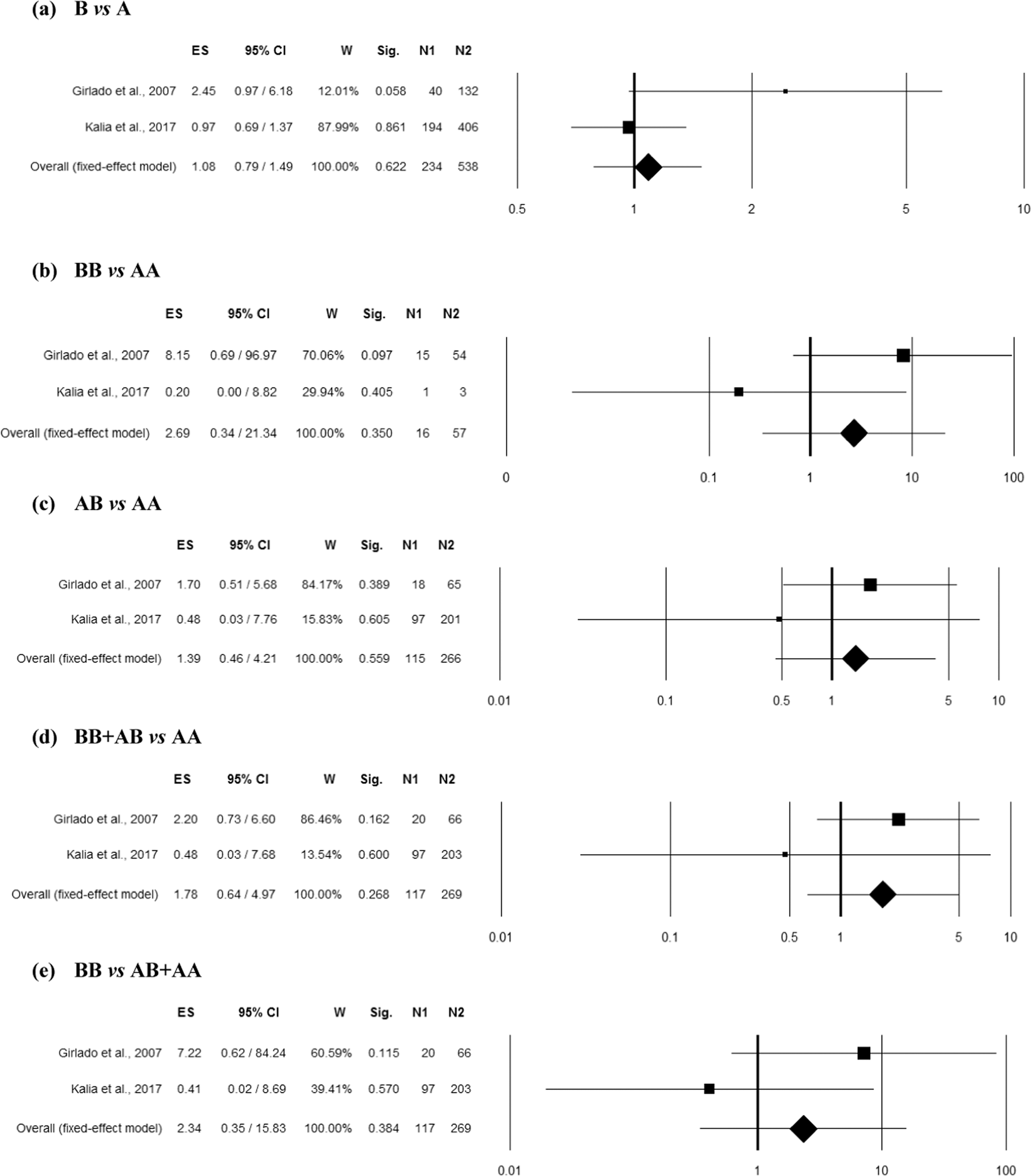
Figure 3

Forest plots for the association between rs1800450 (A/B = G/A allele) polymorphism and RBV under the (a) allelic, (b) homozygote, (c) heterozygote, (d) dominant and (e) recessive mode of inheritance for the studies including Girlado et al.17 and Kalia et al.22. Black boxes represents the value of odds ratio (OR) and the size of the boxes is inversely proportional to the size of the result study variance, so that more precise studies have larger boxes. Horizontal line is the 95% Confidence Interval (CI) of OR. The summary OR is represented by the diamond, where the center of the diamond indicates the OR. The ES is effect size expressed as OR; W, weight; Sig, statistical significance; N1, cases; N2, controls.