Figure 4
From: Stochastic growth pattern of untreated human glioblastomas predicts the survival time for patients

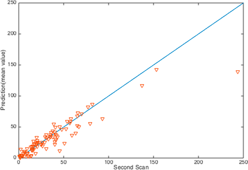
Model verification: The horizontal axis represents the second scanned tumor volume, and the vertical axis represents the tumor size predicted by our stochastic differential model. The second scanned tumor volumes were taken from the original data set from Trondheim, Norway; the first scanned tumor volumes were used to parametrize our mathematical model.