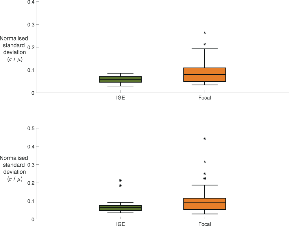
Figure 2

Comparing Variability in OI and PI for Focal and Generalised. (A) Boxplots displaying the distribution of normalised standard deviation of the OI comparing focal epilepsies (n = 43, median = 0.0808, IQR =0.06) against generalised epilepsies (n = 25, median = 0.0573, IQR = 0.0252). Specifically, the normalised standard deviation is calculated by dividing the standard deviation of the OI across all the nodes within the network by the mean of the OI across all the nodes within the network: (\({{\rm{\sigma }}}_{{\rm{OI}}}^{{\rm{IGE}}}/{{\rm{\mu }}}_{{\rm{OI}}}^{{\rm{IGE}}}\)), (\({{\rm{\sigma }}}_{{\rm{OI}}}^{{\rm{FOCAL}}}/{{\rm{\mu }}}_{{\rm{OI}}}^{{\rm{FOCAL}}}\)). Mann-Whitney U test rejects the null-hypothesis that the normalised standard deviation of the OI for the focal and generalised epilepsies have the same distribution (p = 0.0056, U = 319, medians, two-tailed, p < 0.05). (B) Boxplots displaying the distribution of normalised standard deviation of the Participation Index comparing focal epilepsies (n = 43, median = 0.0905, IQR = 0.0618) against generalised epilepsies (n = 25, median = 0.0642, IQR = 0.0273). The normalised standard deviation is calculated by dividing the standard deviation of the Participation Index across the nodes within a network by the mean of the Participation Index across the nodes within that network: (\({{\rm{\sigma }}}_{{\rm{PI}}}^{{\rm{IGE}}}/{{\rm{\mu }}}_{{\rm{PI}}}^{{\rm{IGE}}}\)), (\({{\rm{\sigma }}}_{{\rm{PI}}}^{{\rm{FOCAL}}}/{{\rm{\mu }}}_{{\rm{PI}}}^{{\rm{FOCAL}}}\)). Mann-Whitney U test rejects the null-hypothesis that the normalised standard deviation of the PI for the focal and generalised epilepsies have the same distribution (p = 0.0206, U = 355, medians, two-tailed, p < 0.05).