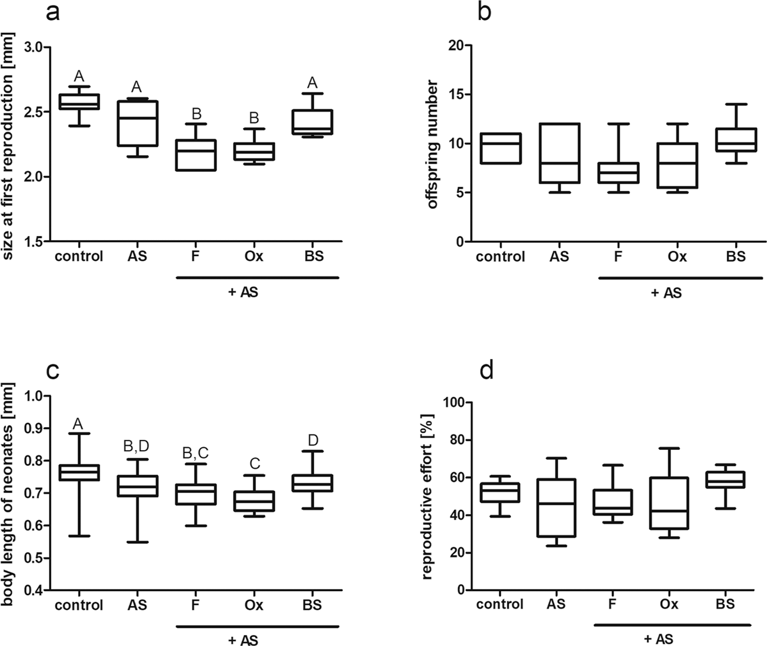
Figure 2

Fish kairomone, bile and bile salts induce changes in the Daphnia magna life history, modified by alarm substance. Effect of fish kairomone (F), ox bile (Ox) and bile salts (BS) with the addition of alarm substance (AS) on D. magna life history: size at first reproduction (a), offspring number (b), body length of neonates (c) and reproductive effort (d). As a reference, we show control treatment with no addition of any compounds (control) and sole alarm substance. Results are presented as boxes bisected at the median value with minimal and maximal whiskers. Letters indicate statistically significant differences between groups. Results of Kruskall-Wallis (H and p) as well as p of Dunn’s post hoc test are presented in Table S3 in the Supporting information.