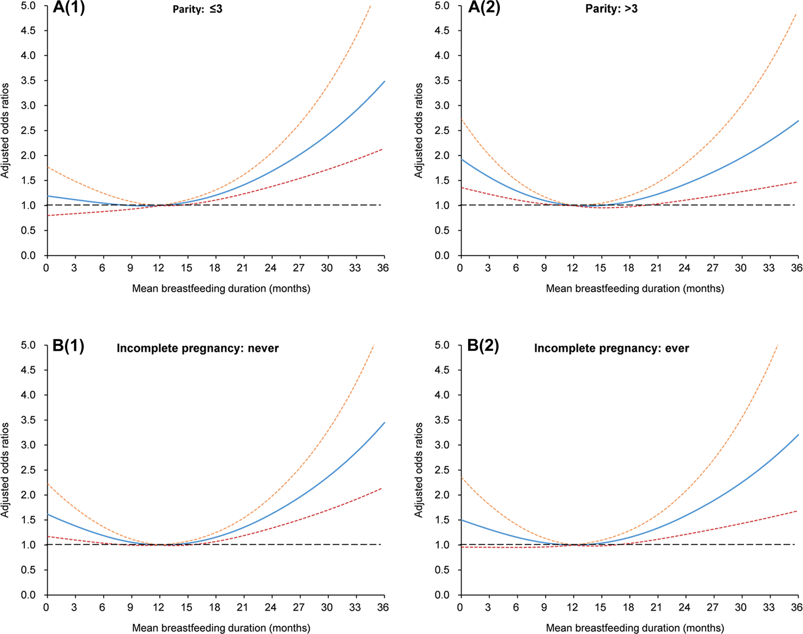
Figure 3

Smoothing plots for mean breastfeeding duration with cognitive impairment, stratified by parity (A(1): ≤3, A(2): >3), incomplete pregnancy (B(1): never, B(2): ≥ever), respectively. The solid line indicates the point estimation for adjusted odds ratios (ORs) of cognitive impairment, and the dotted lines represent 95% confidence intervals (CIs).