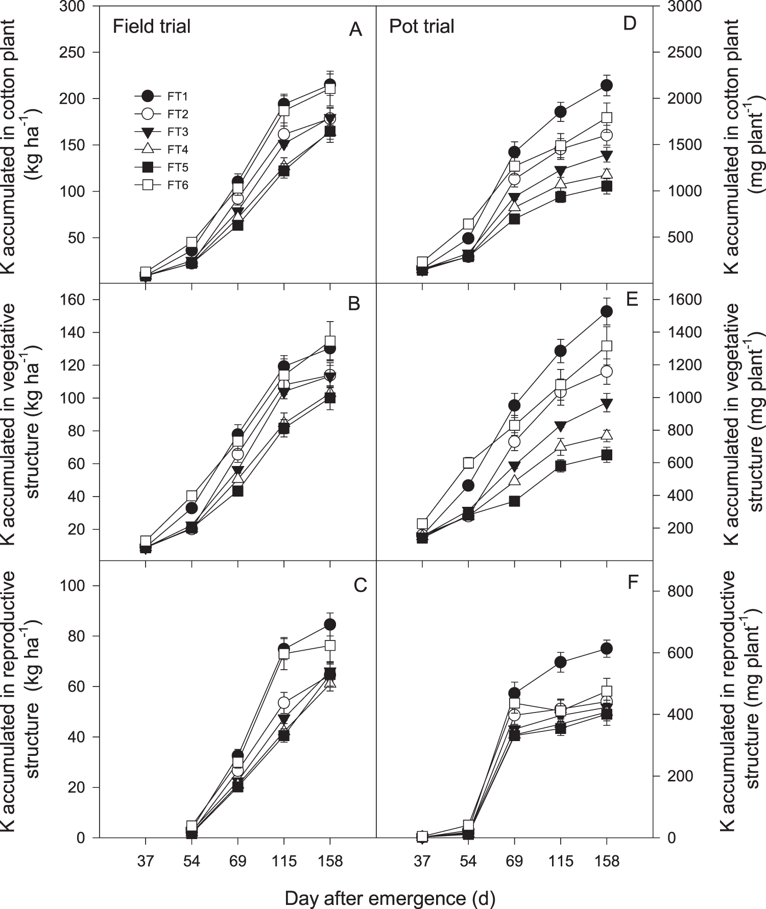
Figure 3

Response of (A,D) cotton plant potassium (CPK), (B,E) vegetative structure potassium (VSK), and (C,F) reproductive structure potassium (RSK) under different once fertilization time in field and pot trial. Error bar shows SE of means. Abbreviations: FT1 = 0 DAF (days after the first flower), FT2 = 5 DAF, FT3 = 10 DAF, FT4 = 15 DAF, and FT5 = 20 DAF and at three splits as the conventional control (FT6) for pre-plant fertilization (30% N, and 100% of the other nutrients), first bloom fertilization (40% N), and peak bloom fertilization (30% N).