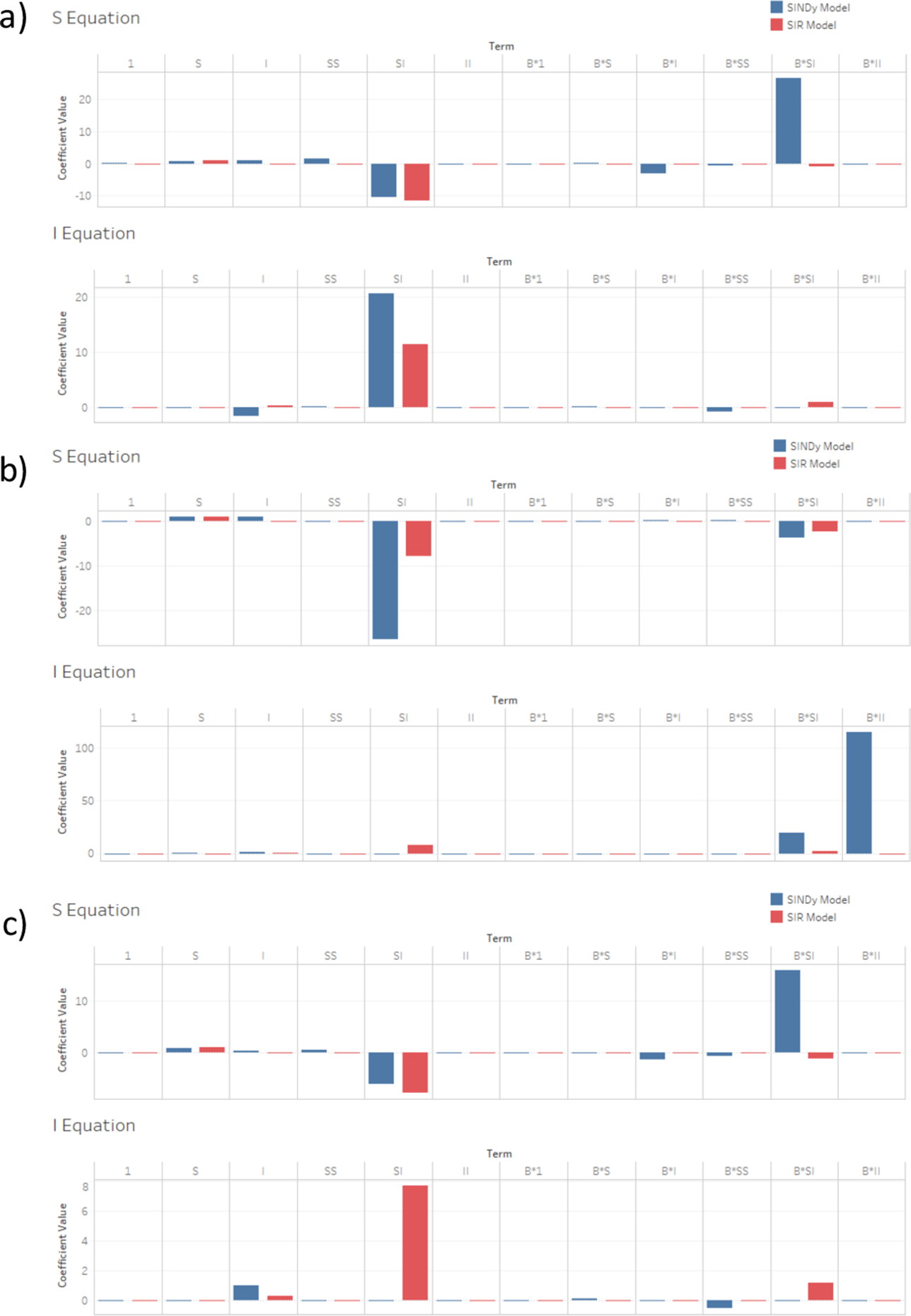
Figure 7
From: Algorithmic discovery of dynamic models from infectious disease data

Comparison of coefficients between SINDy-discovered model (using a function library of 1st and 2nd order polynomials) and fitted SIR model for (a) measles, (b) chickenpox and (c) rubella.