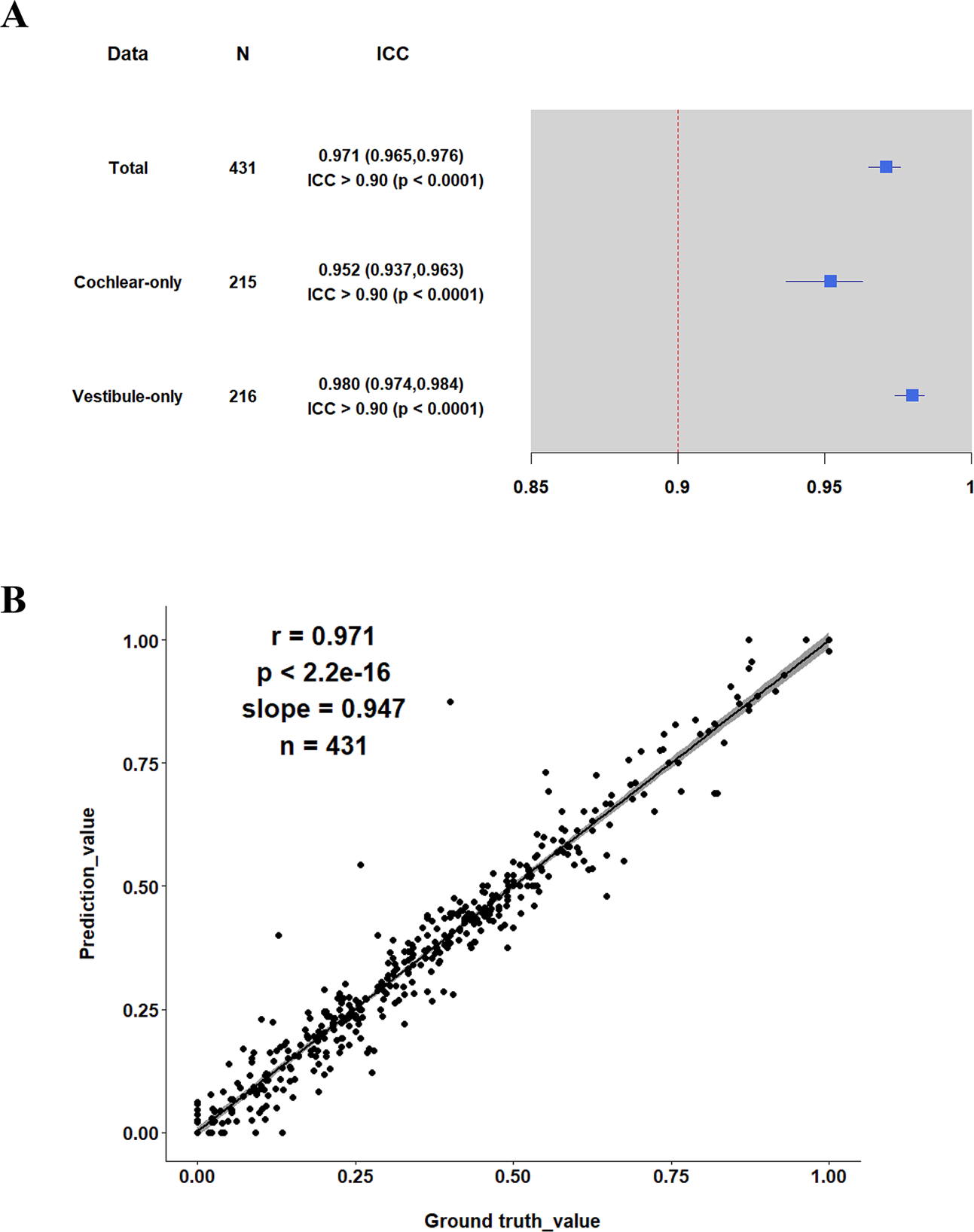
Figure 3

Agreement analysis of the endolymphatic hydrops ratio via intraclass correlation coefficient (ICC), showing (A) ICC mean values (maximum and minimum) and p-values for the overall, cochlea-only, and vestibule-only and (B) scatter plots for all ICCs between the ground truth and prediction by INHEARIT network values.