Figure 6
From: Sub-lattice of Jahn-Teller centers in hexaferrite crystal

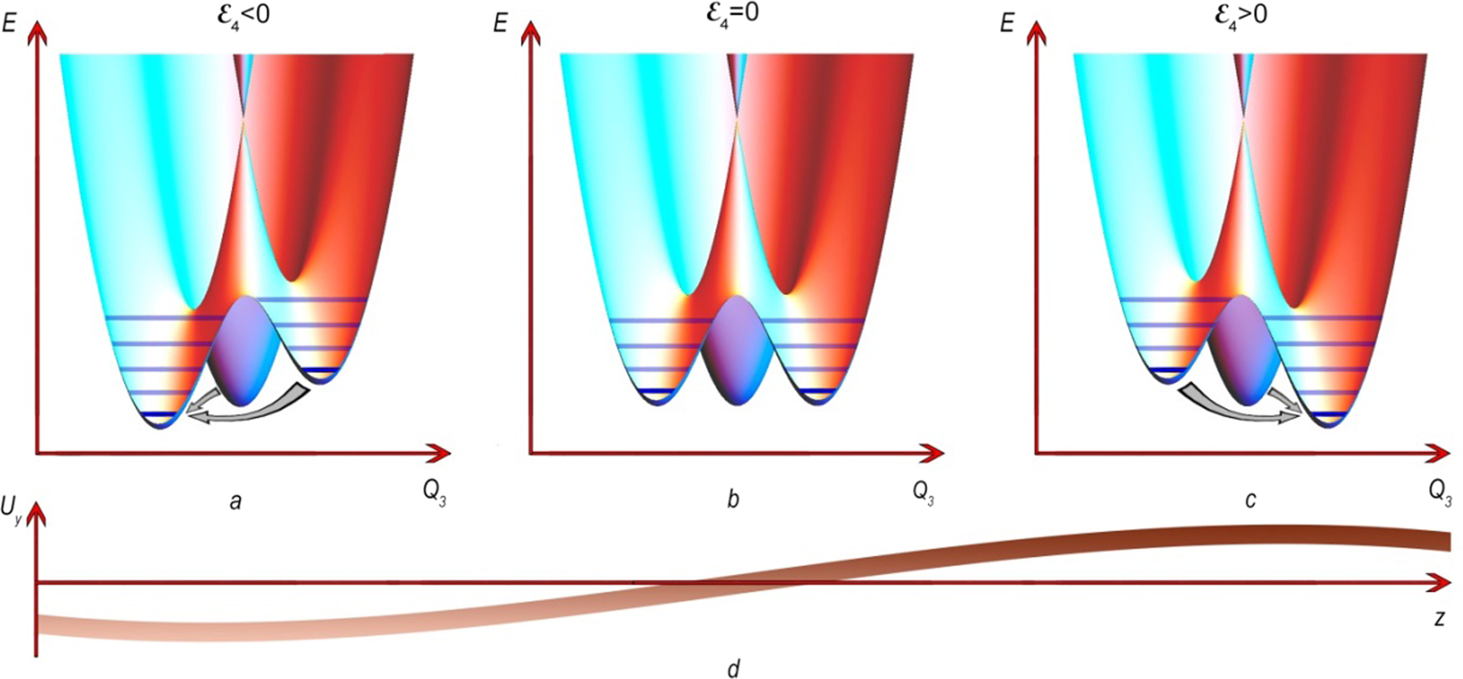
Distortions of the adiabatic potential energy surface that is subject to the \(E\otimes e\) problem of the JTE initiated by ultrasonic c44 mode propagated along the hexagonal axis. The ultrasonic wave produces deformation of the \({\varepsilon }_{4}\) -type, makes the minima nonequivalent and induces non-equilibrium conditions within the JT subsystem. Panels (a–c) show the APES distortions due to \({u}_{y}\) displacements in the acoustic wave shown in panel (d) at fixed time \(t={t}_{0}\). Horizontal lines in (a–c) represent the energy levels in the potential wells that are occupied (dark) and unoccupied (light) at low temperatures. One of the energy minima (associated with the edge 1–5 in Fig. 1b) remains unchanged (in the linear approximation over \({\varepsilon }_{4}\)) and contains levels that are analogous to those shown in panel (b); the energy levels are involved in the relaxation process as shown by gray arrows. This sketch corresponds to a quasi-adiabatic wave propagation with ωτ ≫ 1, i.e., the distribution of JT centers over energy practically does not change. In the opposite case of fast relaxation, ωτ ≪ 1 (quasi-isothermal wave propagation), the relaxation manages to restore the thermal equilibrium much faster than the wave period. In the intermediate case, the non-equilibrium is eliminated only partially.