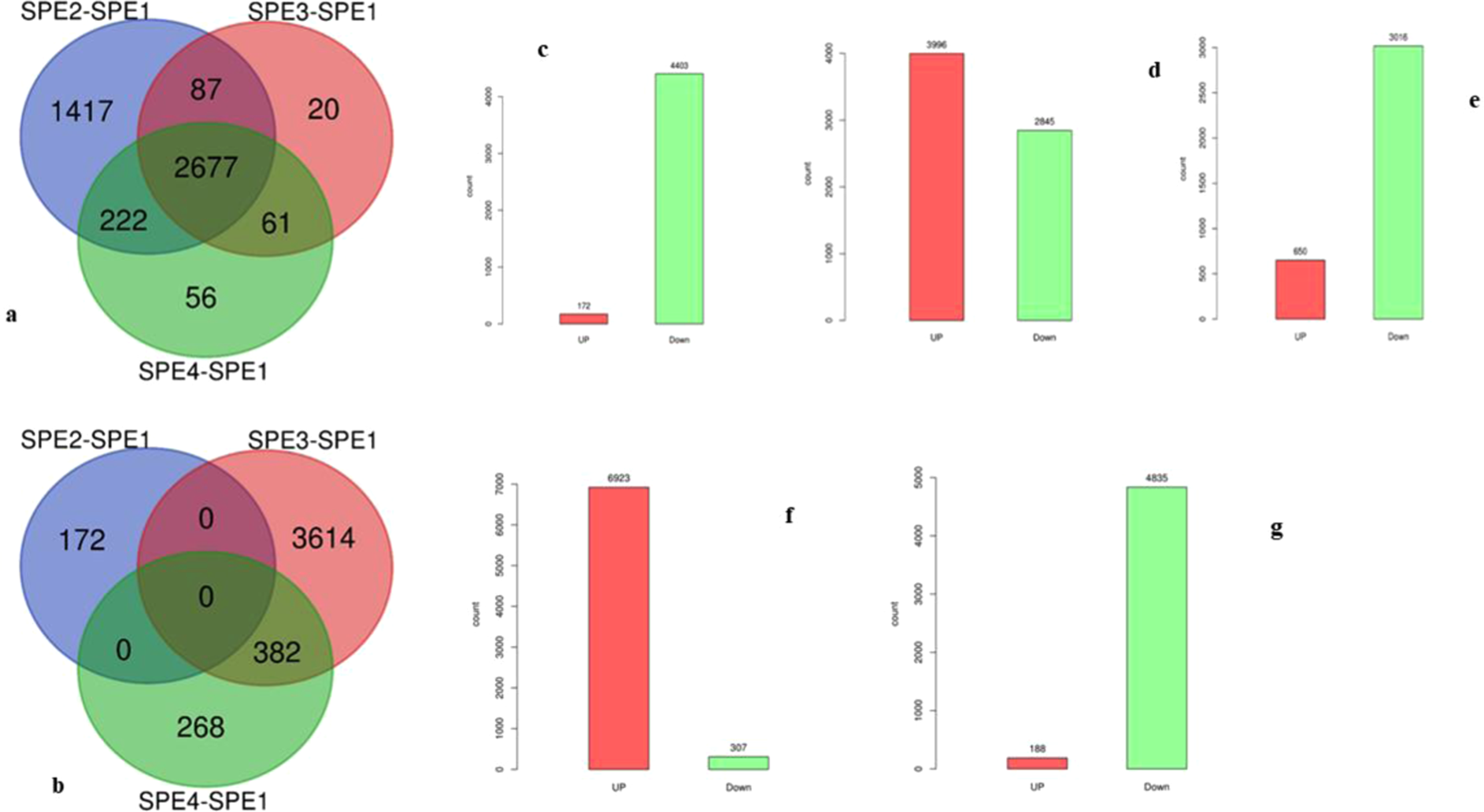
Figure 2

Differentially expressed genes (DEGs): (a) Venn-diagram of down regulated, (b) Venn-diagram of up-regulated genes, (c) DEGs between SPE2-SPE1, (d) DEGs between SPE3-SPE1, (e) DEGs between SPE4-SPE1, (f) DEGs between SPE3-SPE2, and (g) DEGs between SPE4-SPE3.